Останнє оновлення :
27/04/2026
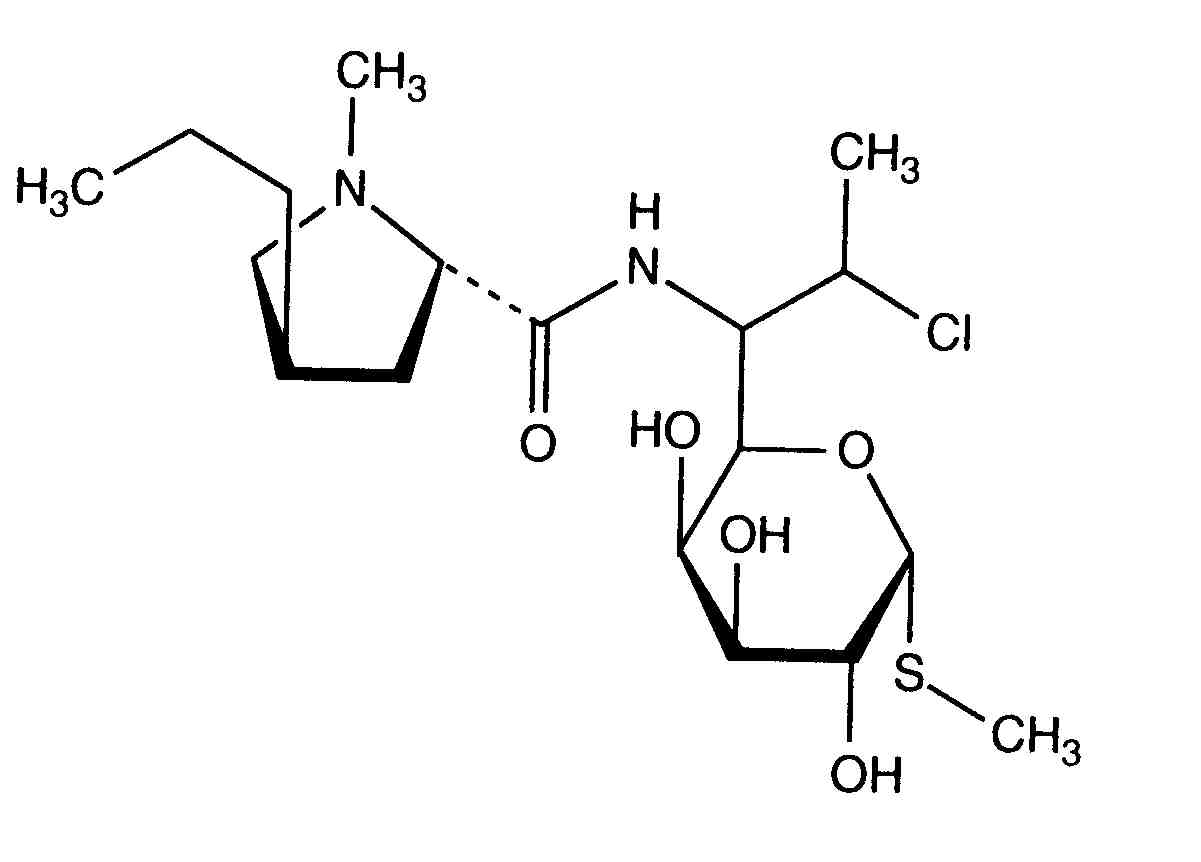
Антибіотик   Clindamycin phosphate  
ін'єкція
Стійкість в розчинах Стійкість сумішей Фактори, що впливають на стабільність Сумісність Шлях введення Список літератури pdf
   Хімічна структура  

Торгова назва   Торгова назва     

Торгові назви є орієнтовними, а склад допоміжних речовин може бути різним залежно від країни та виробника

Biodaclin Мексика
Camyda Індія
Cinbiot Мексика
Cleocin Австрія, Сполучені Штати Америки, Туреччина
Clinamsa Мексика
Clinbac Колумбія, Перу
Clincina Португалія
Clinda-Saar Німеччина
Clindacid Венесуела
Clindacin Малайзія
Clindalaf Аргентина
Clindamicina Іспанія, Італія, Аргентина, Бразилія, Венесуела, Еквадор, Колумбія, Мексика, Перу, Португалія, Чилі
Clindamycin Іран, Австрія, Канада, Німеччина, Норвегія, Румунія, Саудівська Аравія, Сполучені Штати Америки, Швеція
Clindamycin-Hameln Німеччина
Clindamycine Бельгія, Нідерланди, Туніс, Франція
Clindanovag Аргентина
Clindarix Бразилія
Clindasol Німеччина
Clindaval Венесуела
Clindazyn Мексика
Clindo Польща
Clysvic Мексика
Daclin Чилі
Dalacin Єгипет, Індія, Іран, Ірландія, Ісландія, Італія, Австралія, Бельгія, Великобританія, Венесуела, Греція, Данія, Еквадор, Канада, Колумбія, Люксембург, Малайзія, Мексика, Нідерланди, Нова Зеландія, Норвегія, Об'єднані Арабські Емірати, Польща, Саудівська Аравія, Туніс, Угорщина, Фінляндія, Чилі, Швейцарія, Швеція
Dalacine Туніс, Франція
Daladic Іран
Dalcinex Індія
Damclid Індія
Damicin Колумбія, Мексика
Damicine Колумбія
Dolarclin Колумбія
Euroclin Еквадор, Колумбія
Gynasafe Індія
Indamid Мексика
Klimicin Польща
Klindan Туреччина
Klindaver Туреччина
Lanacine Австрія
Lincocin Малайзія
Lincosa Малайзія
Meneklin Туреччина
Sobelin Німеччина
Tidact Малайзія
Стійкість в розчинах   ін'єкція   Стійкість в розчинах : Clindamycin phosphate     
Контейнер Розчинник Концентрація температура Зберігання Тривалість стабільності Список літератури
скло Вода для ін'єкцій 15 mg/ml 22°C Берегти від світла
91 День
80
Рівень доказовості C

скло Вода для ін'єкцій 15 mg/ml 4°C Берегти від світла
91 День
80
Рівень доказовості C

скло Натрію хлорид 0,9% 6 , 9 & 12 mg/ml -10°C Берегти від світла
56 День
566

скло Натрію хлорид 0,9% 6 , 9 & 12 mg/ml 25°C Не визначено
16 День
566

скло Натрію хлорид 0,9% 6 , 9 & 12 mg/ml 4°C Берегти від світла
32 День
566

скло Натрію хлорид 0,9% 9 mg/ml 24°C світло
24 годину
421
Джокер

скло Натрію хлорид 0,9% 9 mg/ml 25°C світло
48 годину
418
Рівень доказовості D

скло Натрію хлорид 0,9% 9 mg/ml 25°C Не визначено
48 годину
565
Рівень доказовості D

скло Натрію хлорид 0,9% 9 & 12 mg/ml 25°C світло
48 годину
432
Рівень доказовості D

скло Глюкоза 5% 6 , 9 & 12 mg/ml -10°C Берегти від світла
56 День
566

скло Глюкоза 5% 6 , 9 & 12 mg/ml 25°C Не визначено
16 День
566

скло Глюкоза 5% 6 , 9 & 12 mg/ml 4°C Берегти від світла
32 День
566

скло Глюкоза 5% 9 mg/ml 24°C світло
24 годину
421
Джокер

скло Глюкоза 5% 9 mg/ml 25°C світло
48 годину
418
Рівень доказовості D

скло Глюкоза 5% 9 mg/ml 25°C Не визначено
48 годину
565
Рівень доказовості D

скло Глюкоза 5% 9 & 12 mg/ml 25°C світло
48 годину
432
Рівень доказовості D

Полівініл хлорид Натрію хлорид 0,9% 6 , 9 & 12 mg/ml -10°C Берегти від світла
56 День
566

Полівініл хлорид Натрію хлорид 0,9% 6 , 9 & 12 mg/ml 25°C Не визначено
16 День
566

Полівініл хлорид Натрію хлорид 0,9% 6 , 9 & 12 mg/ml 4°C Берегти від світла
32 День
566

Полівініл хлорид Натрію хлорид 0,9% 6 & 12 mg/ml -10°C Берегти від світла
68 День
567
Рівень доказовості А

Полівініл хлорид Натрію хлорид 0,9% 6 & 12 mg/ml 25°C Не визначено
22 День
567
Рівень доказовості А

Полівініл хлорид Натрію хлорид 0,9% 6 & 12 mg/ml 5°C Берегти від світла
54 День
567
Рівень доказовості А

Полівініл хлорид Натрію хлорид 0,9% 9 mg/ml -20°C Берегти від світла
28 День
565
Рівень доказовості D

Полівініл хлорид Натрію хлорид 0,9% 9 mg/ml 24°C світло
24 годину
421
Джокер

Полівініл хлорид Глюкоза 5% 6 mg/ml -20°C Берегти від світла
30 День
575
Біологічний аналіз

Полівініл хлорид Глюкоза 5% 6 , 9 & 12 mg/ml -10°C Берегти від світла
56 День
566

Полівініл хлорид Глюкоза 5% 6 , 9 & 12 mg/ml 25°C Не визначено
16 День
566

Полівініл хлорид Глюкоза 5% 6 , 9 & 12 mg/ml 4°C Берегти від світла
32 День
566

Полівініл хлорид Глюкоза 5% 6 & 12 mg/ml -10°C Берегти від світла
68 День
567
Рівень доказовості А

Полівініл хлорид Глюкоза 5% 6 & 12 mg/ml 25°C Не визначено
22 День
567
Рівень доказовості А

Полівініл хлорид Глюкоза 5% 6 & 12 mg/ml 5°C Берегти від світла
54 День
567
Рівень доказовості А

Полівініл хлорид Глюкоза 5% 9 mg/ml -20°C Берегти від світла
28 День
565
Рівень доказовості D

Полівініл хлорид Глюкоза 5% 9 mg/ml 24°C світло
24 годину
421
Джокер

Поліетилен Натрію хлорид 0,9% 3 mg/ml 22°C Берегти від світла
24 годину
1067
Рівень доказовості C

Поліетилен Натрію хлорид 0,9% 3 mg/ml 4°C Берегти від світла
24 годину
1067
Рівень доказовості C

Поліетилен Глюкоза 5% 3 mg/ml 22°C Берегти від світла
24 годину
1067
Рівень доказовості C

Поліетилен Глюкоза 5% 3 mg/ml 4°C Берегти від світла
24 годину
1067
Рівень доказовості C

Етиленвінілацетат Натрію хлорид 0,9% 6 & 12 mg/ml 23°C Берегти від світла
7 День
1815
Рівень доказовості А+

Етиленвінілацетат Натрію хлорид 0,9% 6 & 12 mg/ml 4°C Берегти від світла
30 День
1815
Рівень доказовості А+

Поліпропіленовий шприц Натрію хлорид 0,9% 150 mg/ml 22°C-23°C світло
48 годину
639
Рівень доказовості D

Поліпропіленовий шприц Натрію хлорид 0,9% 60 mg/ml 25°C світло
48 годину
644
Рівень доказовості B

Поліізопреновий еластомер Натрію хлорид 0,9% 2 & 12 mg/ml 25°C Не визначено
24 годину
604
Дані виробника про стабільність

Поліізопреновий еластомер Натрію хлорид 0,9% 2 & 12 mg/ml 4°C Берегти від світла
10 День
604
Дані виробника про стабільність

Не визначено Натрію хлорид 0,9% 9,5 mg/ml 2-8°C Не визначено
49 День
4622
Рівень доказовості А+

Не визначено Натрію хлорид 0,9% 9,5 mg/ml 25°C Не визначено
24 годину
4622
Рівень доказовості А+

Не визначено Глюкоза 5% 9,5 mg/ml 2-8°C Не визначено
47 День
4619
Рівень доказовості А+

Не визначено Глюкоза 5% 9,5 mg/ml 25°C Не визначено
24 годину
4619
Рівень доказовості А+


  Mentions Légales