Utolsó frissítés :
27/04/2026
Antibiotikum   Clindamycin phosphate  
Injekció
Az oldatok stabilitása A keverékek stabilitása Stabilitást befolyásoló tényezők Kompatibilitás Az alkalmazás módja Irodalom pdf
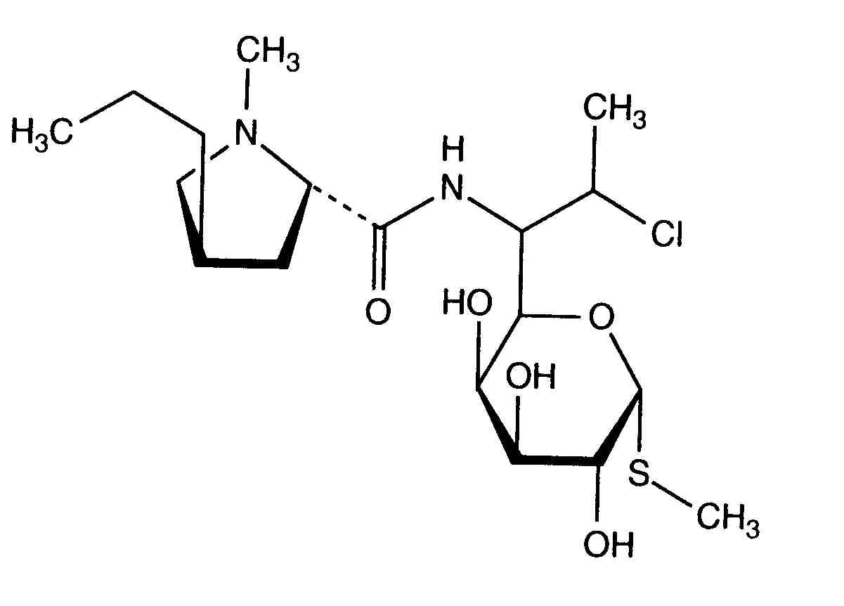
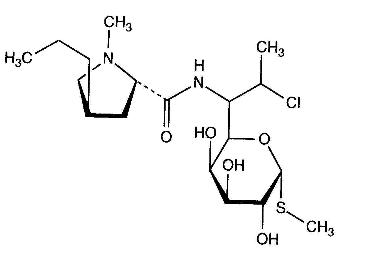
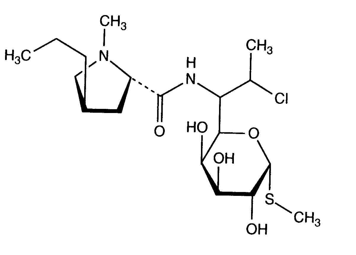
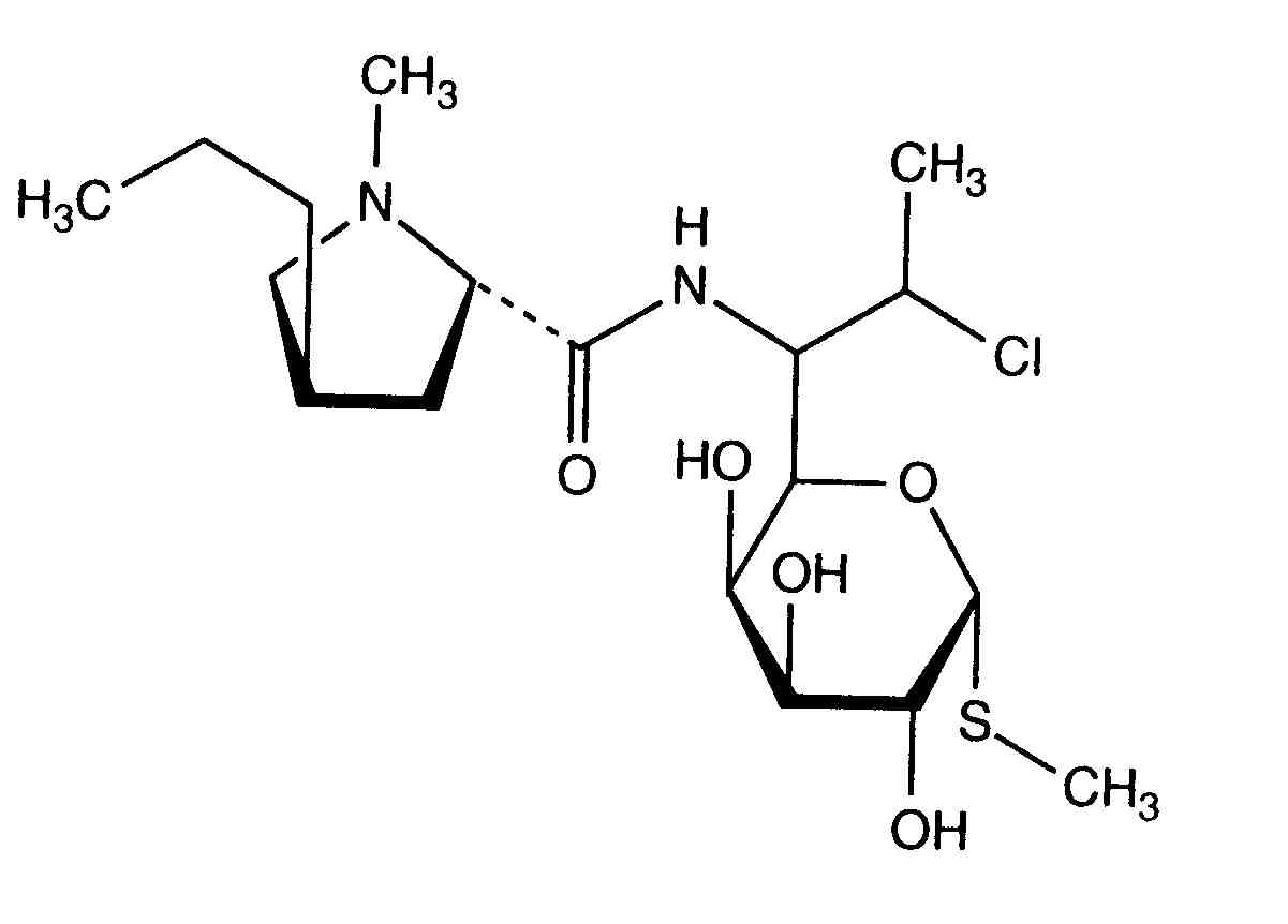
   Kémiai szerkezet   

Kereskedelmi név   Kereskedelmi név     

A kereskedelmi név meghatározó jelentőségű: a készítmények összetétele országonként, előállítóként eltérő lehet

Biodaclin Mexikó
Camyda India
Cinbiot Mexikó
Cleocin Amerikai Egyesült Államok, Ausztria, Törökország
Clinamsa Mexikó
Clinbac Colombia, Peru
Clincina Portugália
Clinda-Saar Németország
Clindacid Venezuela
Clindacin Malaysia
Clindalaf Argentína
Clindamicina Argentína, Brazília, Chile, Colombia, Ecuador, Mexikó, Olaszország, Peru, Portugália, Spanyolország, Venezuela
Clindamycin Amerikai Egyesült Államok, Ausztria, Irán, Kanada, Németország, Norvégia, Románia, Svédország, Szaúd-Arábiában
Clindamycin-Hameln Németország
Clindamycine Belgium, Franciaország, Hollandia, Tunézia
Clindanovag Argentína
Clindarix Brazília
Clindasol Németország
Clindaval Venezuela
Clindazyn Mexikó
Clindo Lengyelország
Clysvic Mexikó
Daclin Chile
Dalacin Ausztrália, Belgium, Chile, Colombia, Dánia, Ecuador, Egyesült Arab Emírségek, Egyiptom, Finnország, Görögország, Hollandia, India, Irán, Írország, Izland, Kanada, Lengyelország, Luxemburg, Magyarország, Malaysia, Mexikó, Nagy-Britannia, Norvégia, Olaszország, Svájc, Svédország, Szaúd-Arábiában, Tunézia, új-Zéland, Venezuela
Dalacine Franciaország, Tunézia
Daladic Irán
Dalcinex India
Damclid India
Damicin Colombia, Mexikó
Damicine Colombia
Dolarclin Colombia
Euroclin Colombia, Ecuador
Gynasafe India
Indamid Mexikó
Klimicin Lengyelország
Klindan Törökország
Klindaver Törökország
Lanacine Ausztria
Lincocin Malaysia
Lincosa Malaysia
Meneklin Törökország
Sobelin Németország
Tidact Malaysia
Az oldatok stabilitása   Injekció   Az oldatok stabilitása : Clindamycin phosphate     
Csomagolás Oldószer Koncentráció Hőmérséklet Tárolás A stabilitás időtartama Irodalom
Üveg Injekcióhoz való víz 15 mg/ml 22°C Fénytől védve tartandó
91 Nap
80
Szintű bizonyítékot C

Üveg Injekcióhoz való víz 15 mg/ml 4°C Fénytől védve tartandó
91 Nap
80
Szintű bizonyítékot C

Üveg 0,9% nátrium-klorid 6 , 9 & 12 mg/ml -10°C Fénytől védve tartandó
56 Nap
566

Üveg 0,9% nátrium-klorid 6 , 9 & 12 mg/ml 25°C Nincs meghatározva
16 Nap
566

Üveg 0,9% nátrium-klorid 6 , 9 & 12 mg/ml 4°C Fénytől védve tartandó
32 Nap
566

Üveg 0,9% nátrium-klorid 9 mg/ml 24°C Fény
24 Óra
421
tréfacsináló

Üveg 0,9% nátrium-klorid 9 mg/ml 25°C Fény
48 Óra
418
Szintű bizonyítékot D

Üveg 0,9% nátrium-klorid 9 mg/ml 25°C Nincs meghatározva
48 Óra
565
Szintű bizonyítékot D

Üveg 0,9% nátrium-klorid 9 & 12 mg/ml 25°C Fény
48 Óra
432
Szintű bizonyítékot D

Üveg 5% glükóz 6 , 9 & 12 mg/ml -10°C Fénytől védve tartandó
56 Nap
566

Üveg 5% glükóz 6 , 9 & 12 mg/ml 25°C Nincs meghatározva
16 Nap
566

Üveg 5% glükóz 6 , 9 & 12 mg/ml 4°C Fénytől védve tartandó
32 Nap
566

Üveg 5% glükóz 9 mg/ml 24°C Fény
24 Óra
421
tréfacsináló

Üveg 5% glükóz 9 mg/ml 25°C Fény
48 Óra
418
Szintű bizonyítékot D

Üveg 5% glükóz 9 mg/ml 25°C Nincs meghatározva
48 Óra
565
Szintű bizonyítékot D

Üveg 5% glükóz 9 & 12 mg/ml 25°C Fény
48 Óra
432
Szintű bizonyítékot D

Poli(vinilklorid) 0,9% nátrium-klorid 6 , 9 & 12 mg/ml -10°C Fénytől védve tartandó
56 Nap
566

Poli(vinilklorid) 0,9% nátrium-klorid 6 , 9 & 12 mg/ml 25°C Nincs meghatározva
16 Nap
566

Poli(vinilklorid) 0,9% nátrium-klorid 6 , 9 & 12 mg/ml 4°C Fénytől védve tartandó
32 Nap
566

Poli(vinilklorid) 0,9% nátrium-klorid 6 & 12 mg/ml -10°C Fénytől védve tartandó
68 Nap
567
Szintű bizonyítékot A

Poli(vinilklorid) 0,9% nátrium-klorid 6 & 12 mg/ml 25°C Nincs meghatározva
22 Nap
567
Szintű bizonyítékot A

Poli(vinilklorid) 0,9% nátrium-klorid 6 & 12 mg/ml 5°C Fénytől védve tartandó
54 Nap
567
Szintű bizonyítékot A

Poli(vinilklorid) 0,9% nátrium-klorid 9 mg/ml -20°C Fénytől védve tartandó
28 Nap
565
Szintű bizonyítékot D

Poli(vinilklorid) 0,9% nátrium-klorid 9 mg/ml 24°C Fény
24 Óra
421
tréfacsináló

Poli(vinilklorid) 5% glükóz 6 mg/ml -20°C Fénytől védve tartandó
30 Nap
575
Biológiai elemzés

Poli(vinilklorid) 5% glükóz 6 , 9 & 12 mg/ml -10°C Fénytől védve tartandó
56 Nap
566

Poli(vinilklorid) 5% glükóz 6 , 9 & 12 mg/ml 25°C Nincs meghatározva
16 Nap
566

Poli(vinilklorid) 5% glükóz 6 , 9 & 12 mg/ml 4°C Fénytől védve tartandó
32 Nap
566

Poli(vinilklorid) 5% glükóz 6 & 12 mg/ml -10°C Fénytől védve tartandó
68 Nap
567
Szintű bizonyítékot A

Poli(vinilklorid) 5% glükóz 6 & 12 mg/ml 25°C Nincs meghatározva
22 Nap
567
Szintű bizonyítékot A

Poli(vinilklorid) 5% glükóz 6 & 12 mg/ml 5°C Fénytől védve tartandó
54 Nap
567
Szintű bizonyítékot A

Poli(vinilklorid) 5% glükóz 9 mg/ml -20°C Fénytől védve tartandó
28 Nap
565
Szintű bizonyítékot D

Poli(vinilklorid) 5% glükóz 9 mg/ml 24°C Fény
24 Óra
421
tréfacsináló

Polietilén 0,9% nátrium-klorid 3 mg/ml 22°C Fénytől védve tartandó
24 Óra
1067
Szintű bizonyítékot C

Polietilén 0,9% nátrium-klorid 3 mg/ml 4°C Fénytől védve tartandó
24 Óra
1067
Szintű bizonyítékot C

Polietilén 5% glükóz 3 mg/ml 22°C Fénytől védve tartandó
24 Óra
1067
Szintű bizonyítékot C

Polietilén 5% glükóz 3 mg/ml 4°C Fénytől védve tartandó
24 Óra
1067
Szintű bizonyítékot C

Etilén-vinilacetát 0,9% nátrium-klorid 6 & 12 mg/ml 23°C Fénytől védve tartandó
7 Nap
1815
Szintű bizonyítékot A+

Etilén-vinilacetát 0,9% nátrium-klorid 6 & 12 mg/ml 4°C Fénytől védve tartandó
30 Nap
1815
Szintű bizonyítékot A+

fecskendő polipropilén 0,9% nátrium-klorid 150 mg/ml 22°C-23°C Fény
48 Óra
639
Szintű bizonyítékot D

fecskendő polipropilén 0,9% nátrium-klorid 60 mg/ml 25°C Fény
48 Óra
644
Szintű bizonyítékot B

Poliizoprén elasztomer 0,9% nátrium-klorid 2 & 12 mg/ml 25°C Nincs meghatározva
24 Óra
604
Gyártó stabilitási adatokra

Poliizoprén elasztomer 0,9% nátrium-klorid 2 & 12 mg/ml 4°C Fénytől védve tartandó
10 Nap
604
Gyártó stabilitási adatokra

Nincs meghatározva 0,9% nátrium-klorid 9,5 mg/ml 2-8°C Nincs meghatározva
49 Nap
4622
Szintű bizonyítékot A+

Nincs meghatározva 0,9% nátrium-klorid 9,5 mg/ml 25°C Nincs meghatározva
24 Óra
4622
Szintű bizonyítékot A+

Nincs meghatározva 5% glükóz 9,5 mg/ml 2-8°C Nincs meghatározva
47 Nap
4619
Szintű bizonyítékot A+

Nincs meghatározva 5% glükóz 9,5 mg/ml 25°C Nincs meghatározva
24 Óra
4619
Szintű bizonyítékot A+


  Mentions Légales