最新更新 :
27/04/2026
抗生素   Clindamycin phosphate  
注射液
溶液稳定性 混合物稳定性 影响稳定性的因素 兼容性 用药途径 引用文献 PDF
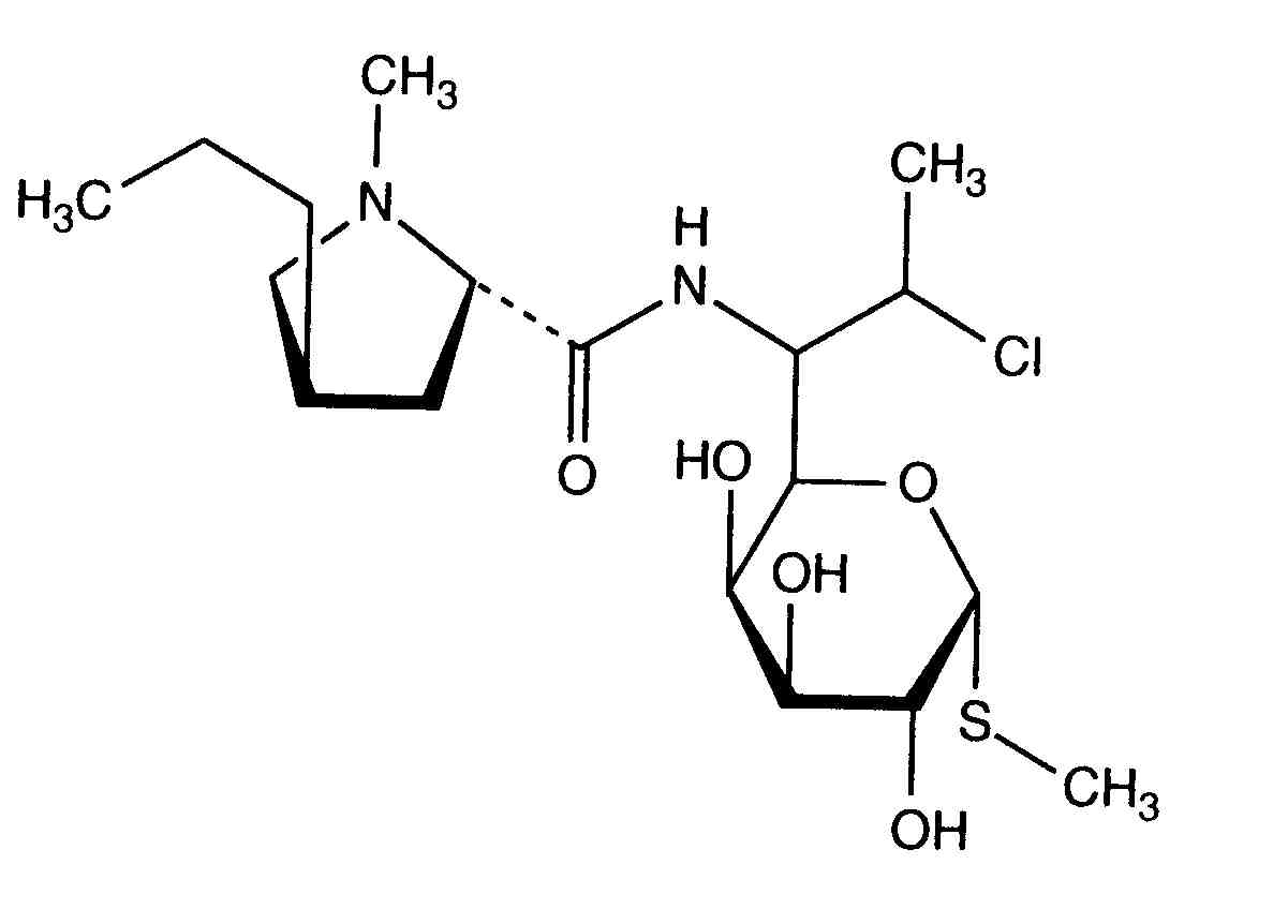
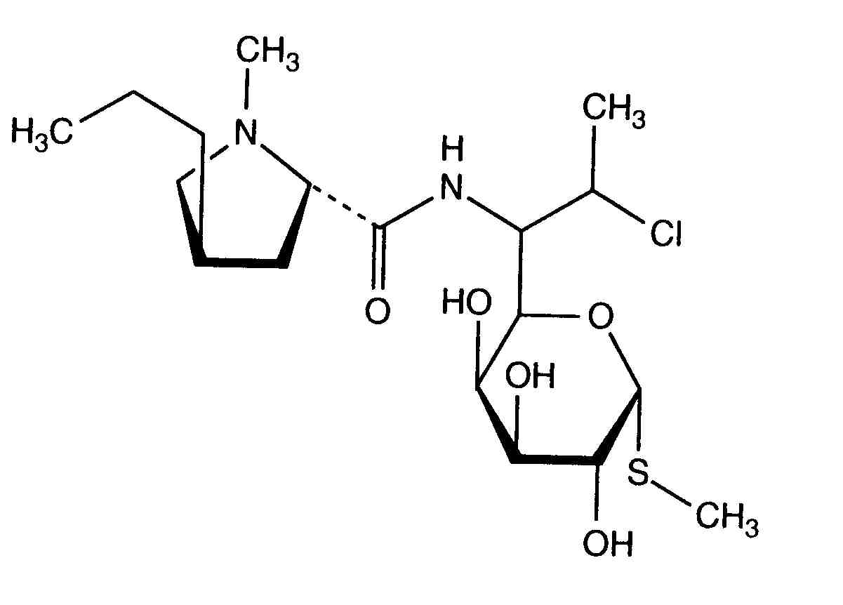
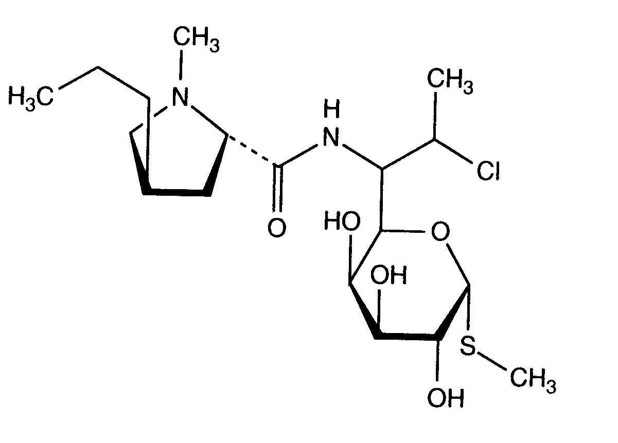
   化学式  

商品名   商品名     

商品名仅供参考, 药品所用的辅料可能依国家或厂商不同有所不同。

Biodaclin 墨西哥
Camyda 印度
Cinbiot 墨西哥
Cleocin 土耳其, 奥地利, 美国
Clinamsa 墨西哥
Clinbac 哥伦比亚, 秘鲁
Clincina 葡萄牙
Clinda-Saar 德国
Clindacid 委内瑞拉
Clindacin 马来西亚
Clindalaf 阿根廷
Clindamicina 厄瓜多尔, 哥伦比亚, 墨西哥, 委内瑞拉, 巴西, 意大利, 智利, 秘鲁, 葡萄牙, 西班牙, 阿根廷
Clindamycin 伊朗, 加拿大, 奥地利, 德国, 挪威, 沙特阿拉伯, 瑞典, 罗马尼亚, 美国
Clindamycin-Hameln 德国
Clindamycine 比利时, 法国, 突尼斯, 荷兰
Clindanovag 阿根廷
Clindarix 巴西
Clindasol 德国
Clindaval 委内瑞拉
Clindazyn 墨西哥
Clindo 波兰
Clysvic 墨西哥
Daclin 智利
Dalacin 丹麦, 伊朗, 冰岛, 加拿大, 匈牙利, 卢森堡, 印度, 厄瓜多尔, 哥伦比亚, 埃及, 墨西哥, 委内瑞拉, 希腊, 意大利, 挪威, 新西蘭, 智利, 比利时, 沙特阿拉伯, 波兰, 澳大利亚, 爱尔兰, 瑞典, 瑞士, 突尼斯, 芬兰, 英国, 荷兰, 阿联酋, 马来西亚
Dalacine 法国, 突尼斯
Daladic 伊朗
Dalcinex 印度
Damclid 印度
Damicin 哥伦比亚, 墨西哥
Damicine 哥伦比亚
Dolarclin 哥伦比亚
Euroclin 厄瓜多尔, 哥伦比亚
Gynasafe 印度
Indamid 墨西哥
Klimicin 波兰
Klindan 土耳其
Klindaver 土耳其
Lanacine 奥地利
Lincocin 马来西亚
Lincosa 马来西亚
Meneklin 土耳其
Sobelin 德国
Tidact 马来西亚
溶液稳定性   注射液   溶液稳定性 : Clindamycin phosphate     
容器 溶剂 浓度 温度 保存 穩定持續時間 引用文献
玻璃 注射用水 15 mg/ml 22°C 避光
91 白天
80
C级

玻璃 注射用水 15 mg/ml 4°C 避光
91 白天
80
C级

玻璃 NaCl 0,9% 6 , 9 & 12 mg/ml -10°C 避光
56 白天
566

玻璃 NaCl 0,9% 6 , 9 & 12 mg/ml 25°C 无特殊要求
16 白天
566

玻璃 NaCl 0,9% 6 , 9 & 12 mg/ml 4°C 避光
32 白天
566

玻璃 NaCl 0,9% 9 mg/ml 24°C 光
24 小时
421
Joker

玻璃 NaCl 0,9% 9 mg/ml 25°C 光
48 小时
418
D级

玻璃 NaCl 0,9% 9 mg/ml 25°C 无特殊要求
48 小时
565
D级

玻璃 NaCl 0,9% 9 & 12 mg/ml 25°C 光
48 小时
432
D级

玻璃 葡萄糖5% 6 , 9 & 12 mg/ml -10°C 避光
56 白天
566

玻璃 葡萄糖5% 6 , 9 & 12 mg/ml 25°C 无特殊要求
16 白天
566

玻璃 葡萄糖5% 6 , 9 & 12 mg/ml 4°C 避光
32 白天
566

玻璃 葡萄糖5% 9 mg/ml 24°C 光
24 小时
421
Joker

玻璃 葡萄糖5% 9 mg/ml 25°C 光
48 小时
418
D级

玻璃 葡萄糖5% 9 mg/ml 25°C 无特殊要求
48 小时
565
D级

玻璃 葡萄糖5% 9 & 12 mg/ml 25°C 光
48 小时
432
D级

聚氯乙烯 NaCl 0,9% 6 , 9 & 12 mg/ml -10°C 避光
56 白天
566

聚氯乙烯 NaCl 0,9% 6 , 9 & 12 mg/ml 25°C 无特殊要求
16 白天
566

聚氯乙烯 NaCl 0,9% 6 , 9 & 12 mg/ml 4°C 避光
32 白天
566

聚氯乙烯 NaCl 0,9% 6 & 12 mg/ml -10°C 避光
68 白天
567
A级

聚氯乙烯 NaCl 0,9% 6 & 12 mg/ml 25°C 无特殊要求
22 白天
567
A级

聚氯乙烯 NaCl 0,9% 6 & 12 mg/ml 5°C 避光
54 白天
567
A级

聚氯乙烯 NaCl 0,9% 9 mg/ml -20°C 避光
28 白天
565
D级

聚氯乙烯 NaCl 0,9% 9 mg/ml 24°C 光
24 小时
421
Joker

聚氯乙烯 葡萄糖5% 6 mg/ml -20°C 避光
30 白天
575
生物检测

聚氯乙烯 葡萄糖5% 6 , 9 & 12 mg/ml -10°C 避光
56 白天
566

聚氯乙烯 葡萄糖5% 6 , 9 & 12 mg/ml 25°C 无特殊要求
16 白天
566

聚氯乙烯 葡萄糖5% 6 , 9 & 12 mg/ml 4°C 避光
32 白天
566

聚氯乙烯 葡萄糖5% 6 & 12 mg/ml -10°C 避光
68 白天
567
A级

聚氯乙烯 葡萄糖5% 6 & 12 mg/ml 25°C 无特殊要求
22 白天
567
A级

聚氯乙烯 葡萄糖5% 6 & 12 mg/ml 5°C 避光
54 白天
567
A级

聚氯乙烯 葡萄糖5% 9 mg/ml -20°C 避光
28 白天
565
D级

聚氯乙烯 葡萄糖5% 9 mg/ml 24°C 光
24 小时
421
Joker

聚乙烯 NaCl 0,9% 3 mg/ml 22°C 避光
24 小时
1067
C级

聚乙烯 NaCl 0,9% 3 mg/ml 4°C 避光
24 小时
1067
C级

聚乙烯 葡萄糖5% 3 mg/ml 22°C 避光
24 小时
1067
C级

聚乙烯 葡萄糖5% 3 mg/ml 4°C 避光
24 小时
1067
C级

乙烯乙酸乙烯酯 NaCl 0,9% 6 & 12 mg/ml 23°C 避光
7 白天
1815
A+级

乙烯乙酸乙烯酯 NaCl 0,9% 6 & 12 mg/ml 4°C 避光
30 白天
1815
A+级

注射器  聚丙烯 NaCl 0,9% 150 mg/ml 22°C-23°C 光
48 小时
639
D级

注射器  聚丙烯 NaCl 0,9% 60 mg/ml 25°C 光
48 小时
644
B级

聚異戊二烯彈性體 NaCl 0,9% 2 & 12 mg/ml 25°C 无特殊要求
24 小时
604
生产厂家提供的稳定性数据

聚異戊二烯彈性體 NaCl 0,9% 2 & 12 mg/ml 4°C 避光
10 白天
604
生产厂家提供的稳定性数据

不详 NaCl 0,9% 9,5 mg/ml 2-8°C 无特殊要求
49 白天
4622
A+级

不详 NaCl 0,9% 9,5 mg/ml 25°C 无特殊要求
24 小时
4622
A+级

不详 葡萄糖5% 9,5 mg/ml 2-8°C 无特殊要求
47 白天
4619
A+级

不详 葡萄糖5% 9,5 mg/ml 25°C 无特殊要求
24 小时
4619
A+级


  Mentions Légales