Poslední aktualizace :
27/04/2026
Antibiotikum   Clindamycin phosphate  
injekce
Stabilita roztoků Stabilita směsí Faktory ovlivňující stabilitu Kompatibilita Způsoby aplikace Odkazy pdf
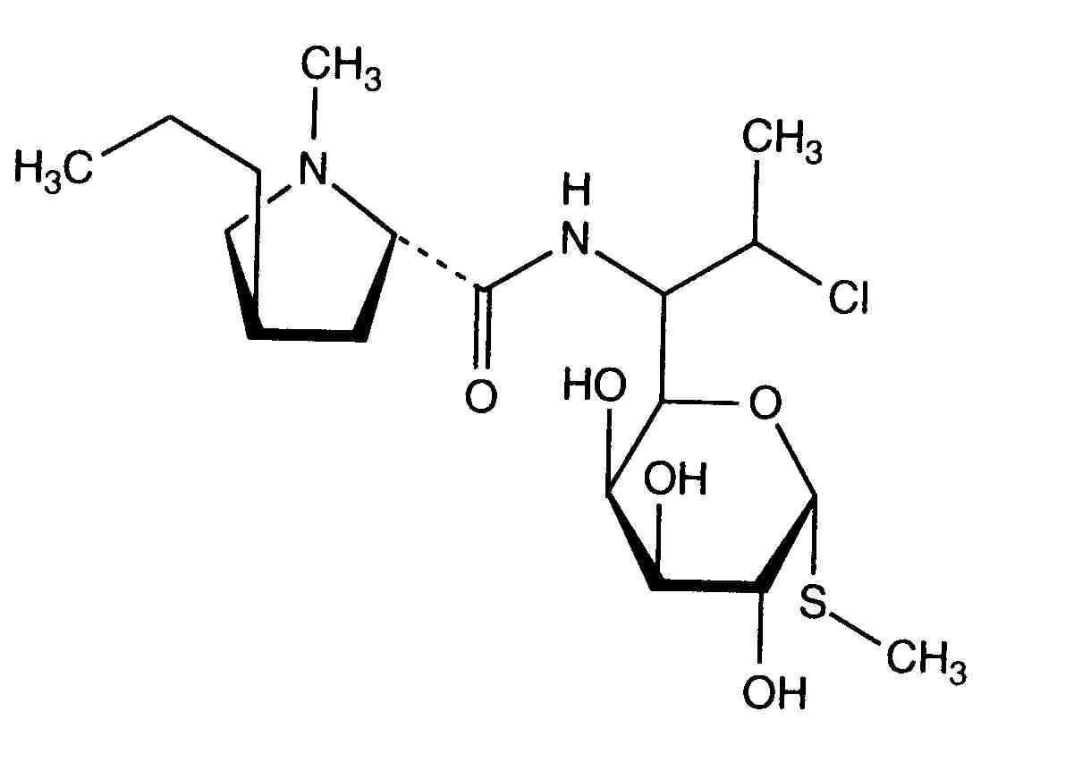
   Chemický vzorec  

Obchodní název   Obchodní název     

Trade names are indicative and excipients composition can be different depending on the country and manufacturers

Biodaclin Mexiko
Camyda Indie
Cinbiot Mexiko
Cleocin Rakousko, Turecko, USA
Clinamsa Mexiko
Clinbac Kolumbie, Peru
Clincina Portugalsko
Clinda-Saar NÏmecko
Clindacid Venezuela
Clindacin Malajsie
Clindalaf Argentina
Clindamicina äpanÏlsko, Argentina, BrazÌlie, Chile, Ekvádor, Itálie, Kolumbie, Mexiko, Peru, Portugalsko, Venezuela
Clindamycin Írán, Kanada, NÏmecko, Norsko, Rakousko, Rumunsko, Saúdská Arábie, Švédsko, USA
Clindamycin-Hameln NÏmecko
Clindamycine Belgie, Francie, Nizozemsko, Tunisko
Clindanovag Argentina
Clindarix BrazÌlie
Clindasol NÏmecko
Clindaval Venezuela
Clindazyn Mexiko
Clindo Polsko
Clysvic Mexiko
Daclin Chile
Dalacin Austrálie, Belgie, Chile, Dánsko, Egypt, Ekvádor, Finsko, Indie, Írán, Irsko, Island, Itálie, Kanada, Kolumbie, Lucembursko, Malajsie, MaÔarsko, Mexiko, Nizozemsko, Norsko, nový Zéland, Polsko, Saúdská Arábie, Spojené arabské emiráty, Švédsko, Švýcarsko, Tunisko, Velká Británie, Venezuela, ÿecko
Dalacine Francie, Tunisko
Daladic Írán
Dalcinex Indie
Damclid Indie
Damicin Kolumbie, Mexiko
Damicine Kolumbie
Dolarclin Kolumbie
Euroclin Ekvádor, Kolumbie
Gynasafe Indie
Indamid Mexiko
Klimicin Polsko
Klindan Turecko
Klindaver Turecko
Lanacine Rakousko
Lincocin Malajsie
Lincosa Malajsie
Meneklin Turecko
Sobelin NÏmecko
Tidact Malajsie
Stabilita roztoků   injekce   Stabilita roztoků : Clindamycin phosphate     
Obal RozpouötÏdlo Koncentrace Teplota Uchovávání Trvání stability Odkazy
Sklo Voda pro injekci 15 mg/ml 22°C Chráněno před světlem
91 Den
80
Úroveň zkoušky C

Sklo Voda pro injekci 15 mg/ml 4°C Chráněno před světlem
91 Den
80
Úroveň zkoušky C

Sklo Chlorid sodný 0,9% 6 , 9 & 12 mg/ml -10°C Chráněno před světlem
56 Den
566

Sklo Chlorid sodný 0,9% 6 , 9 & 12 mg/ml 25°C Nespecifikováno
16 Den
566

Sklo Chlorid sodný 0,9% 6 , 9 & 12 mg/ml 4°C Chráněno před světlem
32 Den
566

Sklo Chlorid sodný 0,9% 9 mg/ml 24°C SvÏtlo
24 Hodina
421
JOKER

Sklo Chlorid sodný 0,9% 9 mg/ml 25°C SvÏtlo
48 Hodina
418
Úroveň zkoušky D

Sklo Chlorid sodný 0,9% 9 mg/ml 25°C Nespecifikováno
48 Hodina
565
Úroveň zkoušky D

Sklo Chlorid sodný 0,9% 9 & 12 mg/ml 25°C SvÏtlo
48 Hodina
432
Úroveň zkoušky D

Sklo GlukÛza 5% 6 , 9 & 12 mg/ml -10°C Chráněno před světlem
56 Den
566

Sklo GlukÛza 5% 6 , 9 & 12 mg/ml 25°C Nespecifikováno
16 Den
566

Sklo GlukÛza 5% 6 , 9 & 12 mg/ml 4°C Chráněno před světlem
32 Den
566

Sklo GlukÛza 5% 9 mg/ml 24°C SvÏtlo
24 Hodina
421
JOKER

Sklo GlukÛza 5% 9 mg/ml 25°C SvÏtlo
48 Hodina
418
Úroveň zkoušky D

Sklo GlukÛza 5% 9 mg/ml 25°C Nespecifikováno
48 Hodina
565
Úroveň zkoušky D

Sklo GlukÛza 5% 9 & 12 mg/ml 25°C SvÏtlo
48 Hodina
432
Úroveň zkoušky D

Polyvinyl chlorid Chlorid sodný 0,9% 6 , 9 & 12 mg/ml -10°C Chráněno před světlem
56 Den
566

Polyvinyl chlorid Chlorid sodný 0,9% 6 , 9 & 12 mg/ml 25°C Nespecifikováno
16 Den
566

Polyvinyl chlorid Chlorid sodný 0,9% 6 , 9 & 12 mg/ml 4°C Chráněno před světlem
32 Den
566

Polyvinyl chlorid Chlorid sodný 0,9% 6 & 12 mg/ml -10°C Chráněno před světlem
68 Den
567
Úroveň zkoušky A

Polyvinyl chlorid Chlorid sodný 0,9% 6 & 12 mg/ml 25°C Nespecifikováno
22 Den
567
Úroveň zkoušky A

Polyvinyl chlorid Chlorid sodný 0,9% 6 & 12 mg/ml 5°C Chráněno před světlem
54 Den
567
Úroveň zkoušky A

Polyvinyl chlorid Chlorid sodný 0,9% 9 mg/ml -20°C Chráněno před světlem
28 Den
565
Úroveň zkoušky D

Polyvinyl chlorid Chlorid sodný 0,9% 9 mg/ml 24°C SvÏtlo
24 Hodina
421
JOKER

Polyvinyl chlorid GlukÛza 5% 6 mg/ml -20°C Chráněno před světlem
30 Den
575
Biologická metoda

Polyvinyl chlorid GlukÛza 5% 6 , 9 & 12 mg/ml -10°C Chráněno před světlem
56 Den
566

Polyvinyl chlorid GlukÛza 5% 6 , 9 & 12 mg/ml 25°C Nespecifikováno
16 Den
566

Polyvinyl chlorid GlukÛza 5% 6 , 9 & 12 mg/ml 4°C Chráněno před světlem
32 Den
566

Polyvinyl chlorid GlukÛza 5% 6 & 12 mg/ml -10°C Chráněno před světlem
68 Den
567
Úroveň zkoušky A

Polyvinyl chlorid GlukÛza 5% 6 & 12 mg/ml 25°C Nespecifikováno
22 Den
567
Úroveň zkoušky A

Polyvinyl chlorid GlukÛza 5% 6 & 12 mg/ml 5°C Chráněno před světlem
54 Den
567
Úroveň zkoušky A

Polyvinyl chlorid GlukÛza 5% 9 mg/ml -20°C Chráněno před světlem
28 Den
565
Úroveň zkoušky D

Polyvinyl chlorid GlukÛza 5% 9 mg/ml 24°C SvÏtlo
24 Hodina
421
JOKER

Polyethylen Chlorid sodný 0,9% 3 mg/ml 22°C Chráněno před světlem
24 Hodina
1067
Úroveň zkoušky C

Polyethylen Chlorid sodný 0,9% 3 mg/ml 4°C Chráněno před světlem
24 Hodina
1067
Úroveň zkoušky C

Polyethylen GlukÛza 5% 3 mg/ml 22°C Chráněno před světlem
24 Hodina
1067
Úroveň zkoušky C

Polyethylen GlukÛza 5% 3 mg/ml 4°C Chráněno před světlem
24 Hodina
1067
Úroveň zkoušky C

Ethylen vinyl acetát Chlorid sodný 0,9% 6 & 12 mg/ml 23°C Chráněno před světlem
7 Den
1815
Úroveň zkoušky A+

Ethylen vinyl acetát Chlorid sodný 0,9% 6 & 12 mg/ml 4°C Chráněno před světlem
30 Den
1815
Úroveň zkoušky A+

stříkačka polypropylen Chlorid sodný 0,9% 150 mg/ml 22°C-23°C SvÏtlo
48 Hodina
639
Úroveň zkoušky D

stříkačka polypropylen Chlorid sodný 0,9% 60 mg/ml 25°C SvÏtlo
48 Hodina
644
Úroveň zkoušky B

Polyisoprenový elastomer Chlorid sodný 0,9% 2 & 12 mg/ml 25°C Nespecifikováno
24 Hodina
604
Údaje o stabilitě od výrobce

Polyisoprenový elastomer Chlorid sodný 0,9% 2 & 12 mg/ml 4°C Chráněno před světlem
10 Den
604
Údaje o stabilitě od výrobce

Nespecifikováno Chlorid sodný 0,9% 9,5 mg/ml 2-8°C Nespecifikováno
49 Den
4622
Úroveň zkoušky A+

Nespecifikováno Chlorid sodný 0,9% 9,5 mg/ml 25°C Nespecifikováno
24 Hodina
4622
Úroveň zkoušky A+

Nespecifikováno GlukÛza 5% 9,5 mg/ml 2-8°C Nespecifikováno
47 Den
4619
Úroveň zkoušky A+

Nespecifikováno GlukÛza 5% 9,5 mg/ml 25°C Nespecifikováno
24 Hodina
4619
Úroveň zkoušky A+


  Mentions Légales