Seneste opdatering :
27/04/2026
Antibiotisk   Clindamycin phosphate  
Injektion
Stabilitet i (vandige) opløsninger Stabilitet i blandinger Faktorer der påvirker stabiliteten Kompatibilitet Administrationsvej Bibliografi pdf
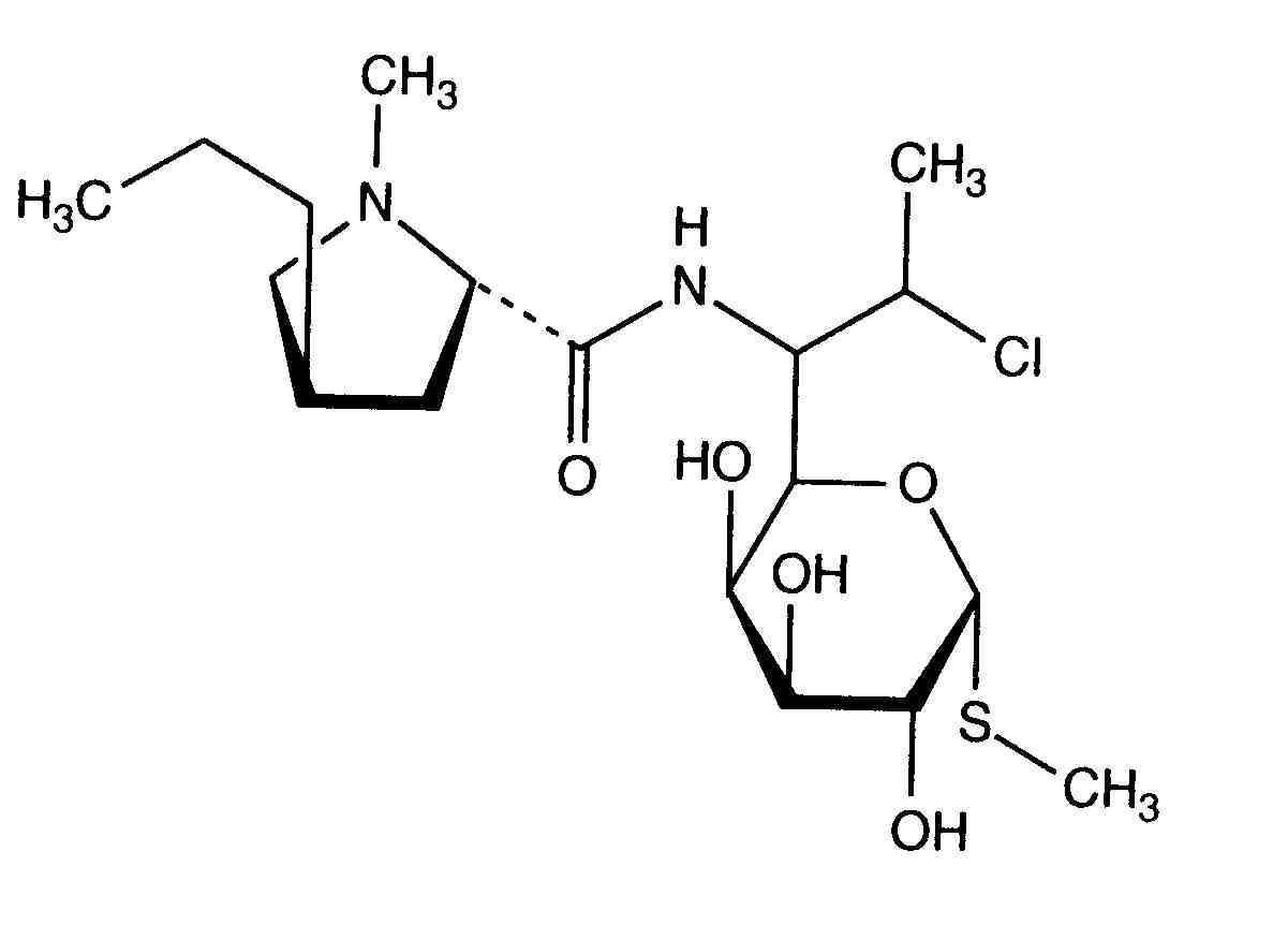
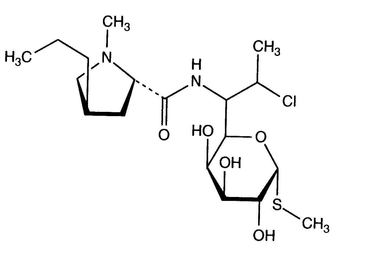
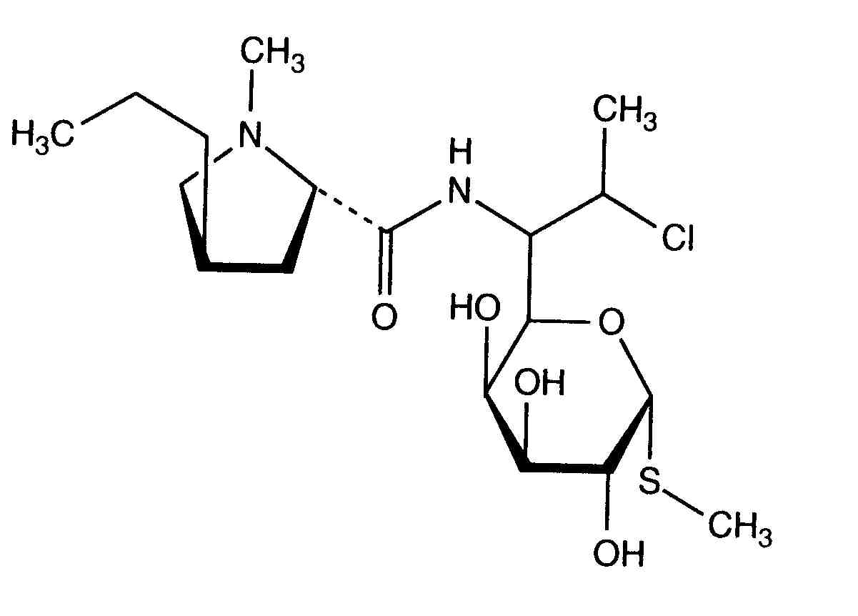
   Kemisk struktur  

Handelsnavn   Handelsnavn     

Handel navne er vejledende og hjælpestoffer sammensætning kan være forskellig afhængigt af landet og laboratorier

Biodaclin Mexico
Camyda Indien
Cinbiot Mexico
Cleocin Tyrkiet, USA, Østrig
Clinamsa Mexico
Clinbac Colombia, Marokko
Clincina Portugal
Clinda-Saar Tyskland
Clindacid Venezuela
Clindacin Malaysia
Clindalaf Argentina
Clindamicina Argentina, Brasilien, Chile, Colombia, Ecuador, Italien, Marokko, Mexico, Portugal, Spanien, Venezuela
Clindamycin Canada, Iran, Norge, Rumænien, Saudi-Arabien, Sverige, Tyskland, USA, Østrig
Clindamycin-Hameln Tyskland
Clindamycine Belgien, Frankrig, Holland, Tunesien
Clindanovag Argentina
Clindarix Brasilien
Clindasol Tyskland
Clindaval Venezuela
Clindazyn Mexico
Clindo Polen
Clysvic Mexico
Daclin Chile
Dalacin Australien, Belgien, Canada, Chile, Colombia, Danmark, Ecuador, Finland, Forenede Arabiske Emirater, Grækenland, Holland, Indien, Iran, Irland, Island, Italien, Luxemborg, Malaysia, Mexico, New Zealand, Norge, Polen, Saudi-Arabien, Schweiz, Storbritanien, Sverige, Tunesien, Ungarn, Venezuela, Ægypten
Dalacine Frankrig, Tunesien
Daladic Iran
Dalcinex Indien
Damclid Indien
Damicin Colombia, Mexico
Damicine Colombia
Dolarclin Colombia
Euroclin Colombia, Ecuador
Gynasafe Indien
Indamid Mexico
Klimicin Polen
Klindan Tyrkiet
Klindaver Tyrkiet
Lanacine Østrig
Lincocin Malaysia
Lincosa Malaysia
Meneklin Tyrkiet
Sobelin Tyskland
Tidact Malaysia
Stabilitet i (vandige) opløsninger   Injektion   Stabilitet i (vandige) opløsninger : Clindamycin phosphate     
Beholder Opløsningsmiddel Koncentration Temperatur Konservering Varighed af stabilitet Bibliografi
Glas Vand til injektion 15 mg/ml 22°C Beskyt mod lys
91 Dag
80
Level af bevismateriale C

Glas Vand til injektion 15 mg/ml 4°C Beskyt mod lys
91 Dag
80
Level af bevismateriale C

Glas 0,9 % Natriumklorid 6 , 9 & 12 mg/ml -10°C Beskyt mod lys
56 Dag
566

Glas 0,9 % Natriumklorid 6 , 9 & 12 mg/ml 25°C Ikke nærmere angivet
16 Dag
566

Glas 0,9 % Natriumklorid 6 , 9 & 12 mg/ml 4°C Beskyt mod lys
32 Dag
566

Glas 0,9 % Natriumklorid 9 mg/ml 24°C Lys
24 Time
421
Joker

Glas 0,9 % Natriumklorid 9 mg/ml 25°C Lys
48 Time
418
Level af bevismateriale D

Glas 0,9 % Natriumklorid 9 mg/ml 25°C Ikke nærmere angivet
48 Time
565
Level af bevismateriale D

Glas 0,9 % Natriumklorid 9 & 12 mg/ml 25°C Lys
48 Time
432
Level af bevismateriale D

Glas 5 % Glukose 6 , 9 & 12 mg/ml -10°C Beskyt mod lys
56 Dag
566

Glas 5 % Glukose 6 , 9 & 12 mg/ml 25°C Ikke nærmere angivet
16 Dag
566

Glas 5 % Glukose 6 , 9 & 12 mg/ml 4°C Beskyt mod lys
32 Dag
566

Glas 5 % Glukose 9 mg/ml 24°C Lys
24 Time
421
Joker

Glas 5 % Glukose 9 mg/ml 25°C Lys
48 Time
418
Level af bevismateriale D

Glas 5 % Glukose 9 mg/ml 25°C Ikke nærmere angivet
48 Time
565
Level af bevismateriale D

Glas 5 % Glukose 9 & 12 mg/ml 25°C Lys
48 Time
432
Level af bevismateriale D

Polyvinylklorid 0,9 % Natriumklorid 6 , 9 & 12 mg/ml -10°C Beskyt mod lys
56 Dag
566

Polyvinylklorid 0,9 % Natriumklorid 6 , 9 & 12 mg/ml 25°C Ikke nærmere angivet
16 Dag
566

Polyvinylklorid 0,9 % Natriumklorid 6 , 9 & 12 mg/ml 4°C Beskyt mod lys
32 Dag
566

Polyvinylklorid 0,9 % Natriumklorid 6 & 12 mg/ml -10°C Beskyt mod lys
68 Dag
567
Level af bevismateriale A

Polyvinylklorid 0,9 % Natriumklorid 6 & 12 mg/ml 25°C Ikke nærmere angivet
22 Dag
567
Level af bevismateriale A

Polyvinylklorid 0,9 % Natriumklorid 6 & 12 mg/ml 5°C Beskyt mod lys
54 Dag
567
Level af bevismateriale A

Polyvinylklorid 0,9 % Natriumklorid 9 mg/ml -20°C Beskyt mod lys
28 Dag
565
Level af bevismateriale D

Polyvinylklorid 0,9 % Natriumklorid 9 mg/ml 24°C Lys
24 Time
421
Joker

Polyvinylklorid 5 % Glukose 6 mg/ml -20°C Beskyt mod lys
30 Dag
575
biologisk analyse

Polyvinylklorid 5 % Glukose 6 , 9 & 12 mg/ml -10°C Beskyt mod lys
56 Dag
566

Polyvinylklorid 5 % Glukose 6 , 9 & 12 mg/ml 25°C Ikke nærmere angivet
16 Dag
566

Polyvinylklorid 5 % Glukose 6 , 9 & 12 mg/ml 4°C Beskyt mod lys
32 Dag
566

Polyvinylklorid 5 % Glukose 6 & 12 mg/ml -10°C Beskyt mod lys
68 Dag
567
Level af bevismateriale A

Polyvinylklorid 5 % Glukose 6 & 12 mg/ml 25°C Ikke nærmere angivet
22 Dag
567
Level af bevismateriale A

Polyvinylklorid 5 % Glukose 6 & 12 mg/ml 5°C Beskyt mod lys
54 Dag
567
Level af bevismateriale A

Polyvinylklorid 5 % Glukose 9 mg/ml -20°C Beskyt mod lys
28 Dag
565
Level af bevismateriale D

Polyvinylklorid 5 % Glukose 9 mg/ml 24°C Lys
24 Time
421
Joker

Polyethylen 0,9 % Natriumklorid 3 mg/ml 22°C Beskyt mod lys
24 Time
1067
Level af bevismateriale C

Polyethylen 0,9 % Natriumklorid 3 mg/ml 4°C Beskyt mod lys
24 Time
1067
Level af bevismateriale C

Polyethylen 5 % Glukose 3 mg/ml 22°C Beskyt mod lys
24 Time
1067
Level af bevismateriale C

Polyethylen 5 % Glukose 3 mg/ml 4°C Beskyt mod lys
24 Time
1067
Level af bevismateriale C

Ethylen vinyl acetat 0,9 % Natriumklorid 6 & 12 mg/ml 23°C Beskyt mod lys
7 Dag
1815
Level af bevismateriale A+

Ethylen vinyl acetat 0,9 % Natriumklorid 6 & 12 mg/ml 4°C Beskyt mod lys
30 Dag
1815
Level af bevismateriale A+

sprøjte polypropylen 0,9 % Natriumklorid 150 mg/ml 22°C-23°C Lys
48 Time
639
Level af bevismateriale D

sprøjte polypropylen 0,9 % Natriumklorid 60 mg/ml 25°C Lys
48 Time
644
Level af bevismateriale B

Polyisopren elastomer 0,9 % Natriumklorid 2 & 12 mg/ml 25°C Ikke nærmere angivet
24 Time
604
Producentens stabilitet data

Polyisopren elastomer 0,9 % Natriumklorid 2 & 12 mg/ml 4°C Beskyt mod lys
10 Dag
604
Producentens stabilitet data

Ikke angivet nærmere 0,9 % Natriumklorid 9,5 mg/ml 2-8°C Ikke nærmere angivet
49 Dag
4622
Level af bevismateriale A+

Ikke angivet nærmere 0,9 % Natriumklorid 9,5 mg/ml 25°C Ikke nærmere angivet
24 Time
4622
Level af bevismateriale A+

Ikke angivet nærmere 5 % Glukose 9,5 mg/ml 2-8°C Ikke nærmere angivet
47 Dag
4619
Level af bevismateriale A+

Ikke angivet nærmere 5 % Glukose 9,5 mg/ml 25°C Ikke nærmere angivet
24 Time
4619
Level af bevismateriale A+


  Mentions Légales