Poslední aktualizace :
27/04/2026
Antibiotikas   Clindamycin phosphate  
Įpurškimas
Tirpalų stabilumas Mišinių stabilumas Stabilumą lemiantys veiksniai Suderinamumas Leidimo būdai Bibliografija pdf
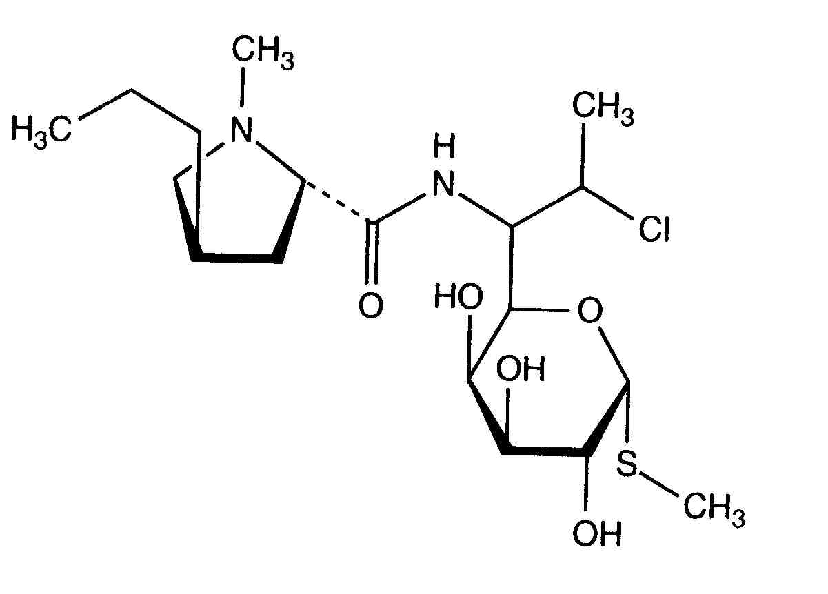
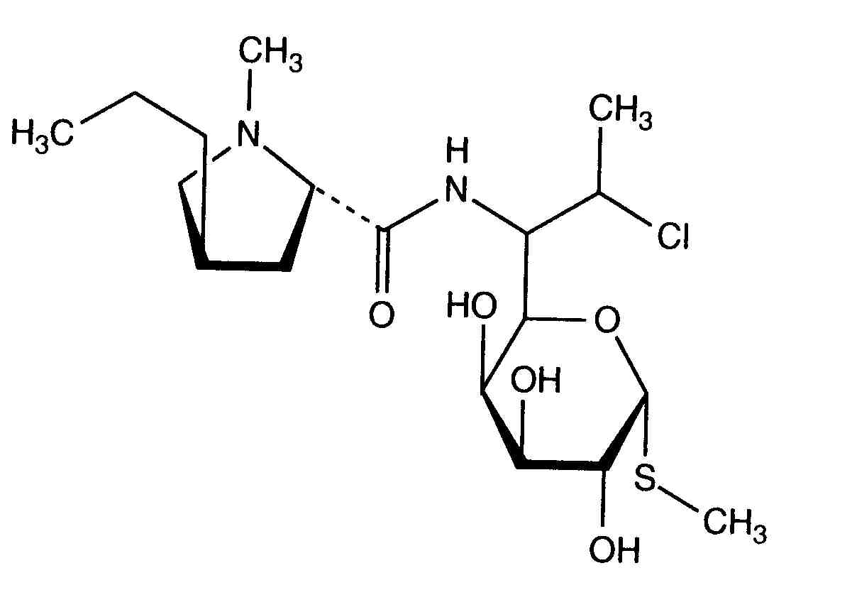
   Cheminė sandara  

Prekinis pavadinimas   Prekinis pavadinimas     

Trade names are indicative and excipients composition can be different depending on the country and manufacturers

Biodaclin Meksikas
Camyda Indija
Cinbiot Meksikas
Cleocin Austrija, Jungtinės Amerikos Valstijos, Turkija
Clinamsa Meksikas
Clinbac Kolumbija, Peru
Clincina Portugalija
Clinda-Saar Vokietija
Clindacid Venesuela
Clindacin Malaizija
Clindalaf Argentina
Clindamicina Argentina, Brazilija, Čilė, Ekvadoras, Ispanija, Italija, Kolumbija, Meksikas, Peru, Portugalija, Venesuela
Clindamycin Austrija, Iranas, Jungtinės Amerikos Valstijos, Kanada, Norvegija, Rumunija, Saudo Arabija, Švedija, Vokietija
Clindamycin-Hameln Vokietija
Clindamycine Belgija, Olandija, Prancūzija, Tunisas
Clindanovag Argentina
Clindarix Brazilija
Clindasol Vokietija
Clindaval Venesuela
Clindazyn Meksikas
Clindo Lenkija
Clysvic Meksikas
Daclin Čilė
Dalacin Airija, Australija, Belgija, Čilė, Danija, Didžioji Britanija, Egiptas, Ekvadoras, Graikija, Indija, Iranas, Islandija, Italija, Jungtiniai Arabų Emyratai, Kanada, Kolumbija, Lenkija, Liuksemburgas, Malaizija, Meksikas, Naujojoje Zelandijoje, Norvegija, Olandija, Saudo Arabija, Suomija, Švedija, Šveicarija, Tunisas, Venesuela, Vengrija
Dalacine Prancūzija, Tunisas
Daladic Iranas
Dalcinex Indija
Damclid Indija
Damicin Kolumbija, Meksikas
Damicine Kolumbija
Dolarclin Kolumbija
Euroclin Ekvadoras, Kolumbija
Gynasafe Indija
Indamid Meksikas
Klimicin Lenkija
Klindan Turkija
Klindaver Turkija
Lanacine Austrija
Lincocin Malaizija
Lincosa Malaizija
Meneklin Turkija
Sobelin Vokietija
Tidact Malaizija
Tirpalų stabilumas   Įpurškimas   Tirpalų stabilumas : Clindamycin phosphate     
Pakuotė Tirpiklis Koncentracija Temperatūra Laikymas Stabilumo trukmė Nuorodos
Stiklas Vanduo injekcijoms 15 mg/ml 22°C Apsaugotas nuo šviesos
91 Diena
80
Bandymo lygis C

Stiklas Vanduo injekcijoms 15 mg/ml 4°C Apsaugotas nuo šviesos
91 Diena
80
Bandymo lygis C

Stiklas Natrio chloridas 0,9% 6 , 9 & 12 mg/ml -10°C Apsaugotas nuo šviesos
56 Diena
566

Stiklas Natrio chloridas 0,9% 6 , 9 & 12 mg/ml 25°C Nenurodyta
16 Diena
566

Stiklas Natrio chloridas 0,9% 6 , 9 & 12 mg/ml 4°C Apsaugotas nuo šviesos
32 Diena
566

Stiklas Natrio chloridas 0,9% 9 mg/ml 24°C Šviesa
24 Valanda
421
Joker

Stiklas Natrio chloridas 0,9% 9 mg/ml 25°C Šviesa
48 Valanda
418
Bandymo lygis D

Stiklas Natrio chloridas 0,9% 9 mg/ml 25°C Nenurodyta
48 Valanda
565
Bandymo lygis D

Stiklas Natrio chloridas 0,9% 9 & 12 mg/ml 25°C Šviesa
48 Valanda
432
Bandymo lygis D

Stiklas Gliukozė 5% 6 , 9 & 12 mg/ml -10°C Apsaugotas nuo šviesos
56 Diena
566

Stiklas Gliukozė 5% 6 , 9 & 12 mg/ml 25°C Nenurodyta
16 Diena
566

Stiklas Gliukozė 5% 6 , 9 & 12 mg/ml 4°C Apsaugotas nuo šviesos
32 Diena
566

Stiklas Gliukozė 5% 9 mg/ml 24°C Šviesa
24 Valanda
421
Joker

Stiklas Gliukozė 5% 9 mg/ml 25°C Šviesa
48 Valanda
418
Bandymo lygis D

Stiklas Gliukozė 5% 9 mg/ml 25°C Nenurodyta
48 Valanda
565
Bandymo lygis D

Stiklas Gliukozė 5% 9 & 12 mg/ml 25°C Šviesa
48 Valanda
432
Bandymo lygis D

Polivinilchloridas Natrio chloridas 0,9% 6 , 9 & 12 mg/ml -10°C Apsaugotas nuo šviesos
56 Diena
566

Polivinilchloridas Natrio chloridas 0,9% 6 , 9 & 12 mg/ml 25°C Nenurodyta
16 Diena
566

Polivinilchloridas Natrio chloridas 0,9% 6 , 9 & 12 mg/ml 4°C Apsaugotas nuo šviesos
32 Diena
566

Polivinilchloridas Natrio chloridas 0,9% 6 & 12 mg/ml -10°C Apsaugotas nuo šviesos
68 Diena
567
Bandymo lygis A

Polivinilchloridas Natrio chloridas 0,9% 6 & 12 mg/ml 25°C Nenurodyta
22 Diena
567
Bandymo lygis A

Polivinilchloridas Natrio chloridas 0,9% 6 & 12 mg/ml 5°C Apsaugotas nuo šviesos
54 Diena
567
Bandymo lygis A

Polivinilchloridas Natrio chloridas 0,9% 9 mg/ml -20°C Apsaugotas nuo šviesos
28 Diena
565
Bandymo lygis D

Polivinilchloridas Natrio chloridas 0,9% 9 mg/ml 24°C Šviesa
24 Valanda
421
Joker

Polivinilchloridas Gliukozė 5% 6 mg/ml -20°C Apsaugotas nuo šviesos
30 Diena
575
Biologinis metodas

Polivinilchloridas Gliukozė 5% 6 , 9 & 12 mg/ml -10°C Apsaugotas nuo šviesos
56 Diena
566

Polivinilchloridas Gliukozė 5% 6 , 9 & 12 mg/ml 25°C Nenurodyta
16 Diena
566

Polivinilchloridas Gliukozė 5% 6 , 9 & 12 mg/ml 4°C Apsaugotas nuo šviesos
32 Diena
566

Polivinilchloridas Gliukozė 5% 6 & 12 mg/ml -10°C Apsaugotas nuo šviesos
68 Diena
567
Bandymo lygis A

Polivinilchloridas Gliukozė 5% 6 & 12 mg/ml 25°C Nenurodyta
22 Diena
567
Bandymo lygis A

Polivinilchloridas Gliukozė 5% 6 & 12 mg/ml 5°C Apsaugotas nuo šviesos
54 Diena
567
Bandymo lygis A

Polivinilchloridas Gliukozė 5% 9 mg/ml -20°C Apsaugotas nuo šviesos
28 Diena
565
Bandymo lygis D

Polivinilchloridas Gliukozė 5% 9 mg/ml 24°C Šviesa
24 Valanda
421
Joker

Polietilenas Natrio chloridas 0,9% 3 mg/ml 22°C Apsaugotas nuo šviesos
24 Valanda
1067
Bandymo lygis C

Polietilenas Natrio chloridas 0,9% 3 mg/ml 4°C Apsaugotas nuo šviesos
24 Valanda
1067
Bandymo lygis C

Polietilenas Gliukozė 5% 3 mg/ml 22°C Apsaugotas nuo šviesos
24 Valanda
1067
Bandymo lygis C

Polietilenas Gliukozė 5% 3 mg/ml 4°C Apsaugotas nuo šviesos
24 Valanda
1067
Bandymo lygis C

Etileno vinilacetatas Natrio chloridas 0,9% 6 & 12 mg/ml 23°C Apsaugotas nuo šviesos
7 Diena
1815
Bandymo lygis A+

Etileno vinilacetatas Natrio chloridas 0,9% 6 & 12 mg/ml 4°C Apsaugotas nuo šviesos
30 Diena
1815
Bandymo lygis A+

Švirkštas polipropileno Natrio chloridas 0,9% 150 mg/ml 22°C-23°C Šviesa
48 Valanda
639
Bandymo lygis D

Švirkštas polipropileno Natrio chloridas 0,9% 60 mg/ml 25°C Šviesa
48 Valanda
644
Bandymo lygis B

Poliizopreno elastomeras Natrio chloridas 0,9% 2 & 12 mg/ml 25°C Nenurodyta
24 Valanda
604
Gamintojo stabilumo duomenys

Poliizopreno elastomeras Natrio chloridas 0,9% 2 & 12 mg/ml 4°C Apsaugotas nuo šviesos
10 Diena
604
Gamintojo stabilumo duomenys

Nenurodyta Natrio chloridas 0,9% 9,5 mg/ml 2-8°C Nenurodyta
49 Diena
4622
Bandymo lygis A+

Nenurodyta Natrio chloridas 0,9% 9,5 mg/ml 25°C Nenurodyta
24 Valanda
4622
Bandymo lygis A+

Nenurodyta Gliukozė 5% 9,5 mg/ml 2-8°C Nenurodyta
47 Diena
4619
Bandymo lygis A+

Nenurodyta Gliukozė 5% 9,5 mg/ml 25°C Nenurodyta
24 Valanda
4619
Bandymo lygis A+


  Mentions Légales