Letztes “update” :
27/04/2026
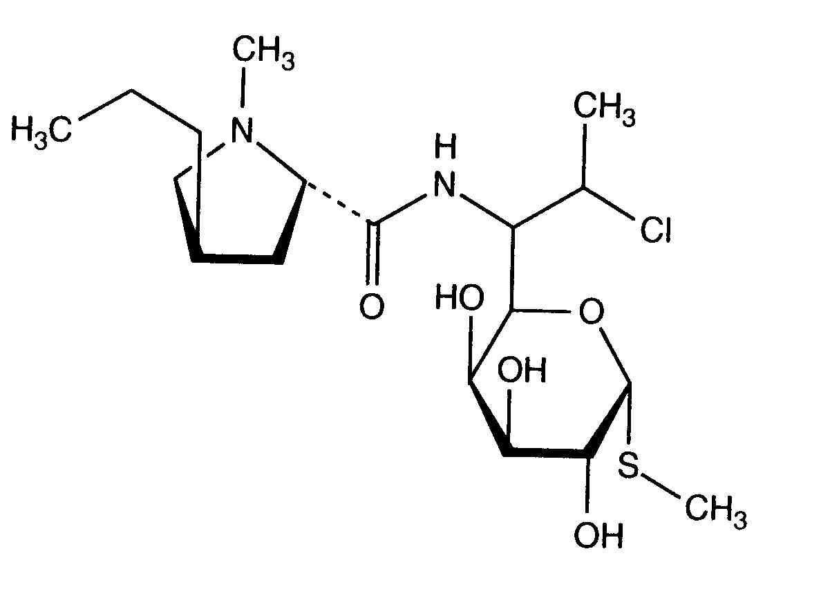
Antibiotikum   Clindamycin phosphate  
Injektion
Stabilität der Lösung Gemengestabilität Stabilitätbeeinflussende Faktoren Kompatibilitäten Applikationsart Literaturverzeichnis pdf
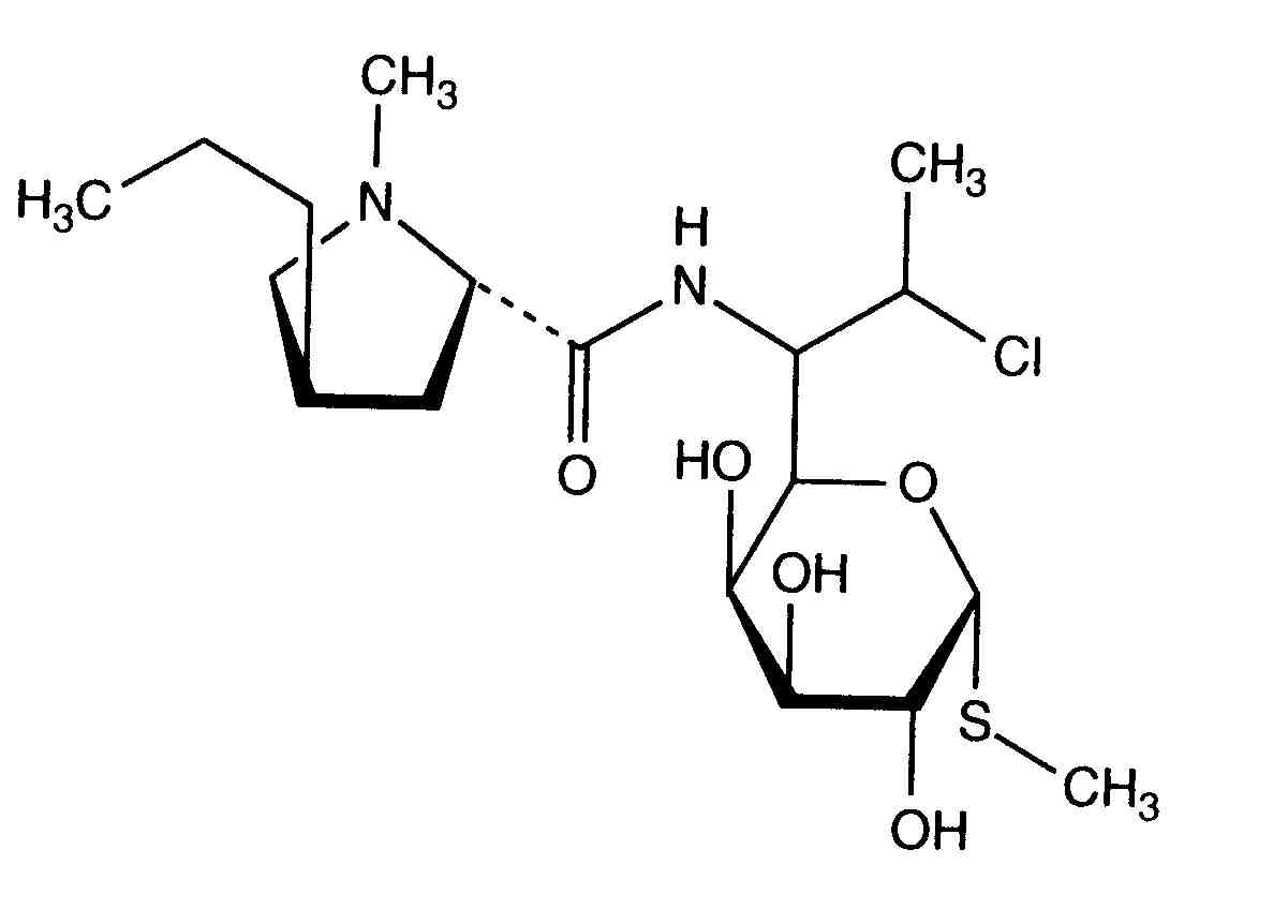
   Chemische Struktur  

Handelsmarke   Handelsmarke     

Handelsnamen sind als beispielhaft anzusehen. Sonstige Bestandteile können je nach Hersteller oder Land verschieden sein

Biodaclin Mexiko
Camyda Indien
Cinbiot Mexiko
Cleocin Österreich, Türkei, Vereinigte Staaten von Amerika
Clinamsa Mexiko
Clinbac Kolumbien, Peru
Clincina Portugal
Clinda-Saar Deutschland
Clindacid Venezuela
Clindacin Malaysia
Clindalaf Argentinien
Clindamicina Argentinien, Brasilien, Chile, Ecuador, Italien, Kolumbien, Mexiko, Peru, Portugal, Spanien, Venezuela
Clindamycin Deutschland, Iran, Kanada, Norwegen, Österreich, Rumänien, Saudi-Arabien, Schweden, Vereinigte Staaten von Amerika
Clindamycin-Hameln Deutschland
Clindamycine Belgien, Frankreich, Niederlande, Tunesien
Clindanovag Argentinien
Clindarix Brasilien
Clindasol Deutschland
Clindaval Venezuela
Clindazyn Mexiko
Clindo Polen
Clysvic Mexiko
Daclin Chile
Dalacin Ägypten, Australien, Belgien, Chile, Dänemark, Ecuador, Finnland, Griechenland, Großbritannien, Indien, Iran, Irland, Island, Italien, Kanada, Kolumbien, Luxemburg, Malaysia, Mexiko, Neuseeland, Niederlande, Norwegen, Polen, Saudi-Arabien, Schweden, Schweiz, Tunesien, Ungarn, Venezuela, Vereinigte Arabische Emirate
Dalacine Frankreich, Tunesien
Daladic Iran
Dalcinex Indien
Damclid Indien
Damicin Kolumbien, Mexiko
Damicine Kolumbien
Dolarclin Kolumbien
Euroclin Ecuador, Kolumbien
Gynasafe Indien
Indamid Mexiko
Klimicin Polen
Klindan Türkei
Klindaver Türkei
Lanacine Österreich
Lincocin Malaysia
Lincosa Malaysia
Meneklin Türkei
Sobelin Deutschland
Tidact Malaysia
Stabilität der Lösung   Injektion   Stabilität der Lösung : Clindamycin phosphate     
Behälter Lösungsmittel Konzentration Temperatur Konservierung Dauer der Stabilität Literaturverzeichnis
Glas Wasser für injektable präparate 15 mg/ml 22°C Ohne Licht
91 Tag
80
Evidenzgrad C

Glas Wasser für injektable präparate 15 mg/ml 4°C Ohne Licht
91 Tag
80
Evidenzgrad C

Glas 0,9% Natriumchlorid 6 , 9 & 12 mg/ml -10°C Ohne Licht
56 Tag
566

Glas 0,9% Natriumchlorid 6 , 9 & 12 mg/ml 25°C Nicht genau angegeben
16 Tag
566

Glas 0,9% Natriumchlorid 6 , 9 & 12 mg/ml 4°C Ohne Licht
32 Tag
566

Glas 0,9% Natriumchlorid 9 mg/ml 24°C Licht
24 Stunde
421
Joker

Glas 0,9% Natriumchlorid 9 mg/ml 25°C Licht
48 Stunde
418
Evidenzgrad D

Glas 0,9% Natriumchlorid 9 mg/ml 25°C Nicht genau angegeben
48 Stunde
565
Evidenzgrad D

Glas 0,9% Natriumchlorid 9 & 12 mg/ml 25°C Licht
48 Stunde
432
Evidenzgrad D

Glas 5% Glucose 6 , 9 & 12 mg/ml -10°C Ohne Licht
56 Tag
566

Glas 5% Glucose 6 , 9 & 12 mg/ml 25°C Nicht genau angegeben
16 Tag
566

Glas 5% Glucose 6 , 9 & 12 mg/ml 4°C Ohne Licht
32 Tag
566

Glas 5% Glucose 9 mg/ml 24°C Licht
24 Stunde
421
Joker

Glas 5% Glucose 9 mg/ml 25°C Licht
48 Stunde
418
Evidenzgrad D

Glas 5% Glucose 9 mg/ml 25°C Nicht genau angegeben
48 Stunde
565
Evidenzgrad D

Glas 5% Glucose 9 & 12 mg/ml 25°C Licht
48 Stunde
432
Evidenzgrad D

Polyvinylchlorid 0,9% Natriumchlorid 6 , 9 & 12 mg/ml -10°C Ohne Licht
56 Tag
566

Polyvinylchlorid 0,9% Natriumchlorid 6 , 9 & 12 mg/ml 25°C Nicht genau angegeben
16 Tag
566

Polyvinylchlorid 0,9% Natriumchlorid 6 , 9 & 12 mg/ml 4°C Ohne Licht
32 Tag
566

Polyvinylchlorid 0,9% Natriumchlorid 6 & 12 mg/ml -10°C Ohne Licht
68 Tag
567
Evidenzgrad A

Polyvinylchlorid 0,9% Natriumchlorid 6 & 12 mg/ml 25°C Nicht genau angegeben
22 Tag
567
Evidenzgrad A

Polyvinylchlorid 0,9% Natriumchlorid 6 & 12 mg/ml 5°C Ohne Licht
54 Tag
567
Evidenzgrad A

Polyvinylchlorid 0,9% Natriumchlorid 9 mg/ml -20°C Ohne Licht
28 Tag
565
Evidenzgrad D

Polyvinylchlorid 0,9% Natriumchlorid 9 mg/ml 24°C Licht
24 Stunde
421
Joker

Polyvinylchlorid 5% Glucose 6 mg/ml -20°C Ohne Licht
30 Tag
575
Biologische Analysen

Polyvinylchlorid 5% Glucose 6 , 9 & 12 mg/ml -10°C Ohne Licht
56 Tag
566

Polyvinylchlorid 5% Glucose 6 , 9 & 12 mg/ml 25°C Nicht genau angegeben
16 Tag
566

Polyvinylchlorid 5% Glucose 6 , 9 & 12 mg/ml 4°C Ohne Licht
32 Tag
566

Polyvinylchlorid 5% Glucose 6 & 12 mg/ml -10°C Ohne Licht
68 Tag
567
Evidenzgrad A

Polyvinylchlorid 5% Glucose 6 & 12 mg/ml 25°C Nicht genau angegeben
22 Tag
567
Evidenzgrad A

Polyvinylchlorid 5% Glucose 6 & 12 mg/ml 5°C Ohne Licht
54 Tag
567
Evidenzgrad A

Polyvinylchlorid 5% Glucose 9 mg/ml -20°C Ohne Licht
28 Tag
565
Evidenzgrad D

Polyvinylchlorid 5% Glucose 9 mg/ml 24°C Licht
24 Stunde
421
Joker

Polyäthylen 0,9% Natriumchlorid 3 mg/ml 22°C Ohne Licht
24 Stunde
1067
Evidenzgrad C

Polyäthylen 0,9% Natriumchlorid 3 mg/ml 4°C Ohne Licht
24 Stunde
1067
Evidenzgrad C

Polyäthylen 5% Glucose 3 mg/ml 22°C Ohne Licht
24 Stunde
1067
Evidenzgrad C

Polyäthylen 5% Glucose 3 mg/ml 4°C Ohne Licht
24 Stunde
1067
Evidenzgrad C

Äthylenvinylacetat 0,9% Natriumchlorid 6 & 12 mg/ml 23°C Ohne Licht
7 Tag
1815
Evidenzgrad A+

Äthylenvinylacetat 0,9% Natriumchlorid 6 & 12 mg/ml 4°C Ohne Licht
30 Tag
1815
Evidenzgrad A+

 Spritze Polypropylen 0,9% Natriumchlorid 150 mg/ml 22°C-23°C Licht
48 Stunde
639
Evidenzgrad D

 Spritze Polypropylen 0,9% Natriumchlorid 60 mg/ml 25°C Licht
48 Stunde
644
Evidenzgrad B

Polyisoprenelastomer 0,9% Natriumchlorid 2 & 12 mg/ml 25°C Nicht genau angegeben
24 Stunde
604
Stabilitätsdaten des Herstellers

Polyisoprenelastomer 0,9% Natriumchlorid 2 & 12 mg/ml 4°C Ohne Licht
10 Tag
604
Stabilitätsdaten des Herstellers

Nicht genau angegeben 0,9% Natriumchlorid 9,5 mg/ml 2-8°C Nicht genau angegeben
49 Tag
4622
Evidenzgrad A+

Nicht genau angegeben 0,9% Natriumchlorid 9,5 mg/ml 25°C Nicht genau angegeben
24 Stunde
4622
Evidenzgrad A+

Nicht genau angegeben 5% Glucose 9,5 mg/ml 2-8°C Nicht genau angegeben
47 Tag
4619
Evidenzgrad A+

Nicht genau angegeben 5% Glucose 9,5 mg/ml 25°C Nicht genau angegeben
24 Stunde
4619
Evidenzgrad A+


  Mentions Légales