آخر تحديث :
27/01/2026
مضاد حيوي   Clindamycin phosphate  
حقن
الاستقرار في حلول استقرار مخاليط العوامل التي تؤثر على الاستقرار التوافق طريقة التعاطي مراجع pdf
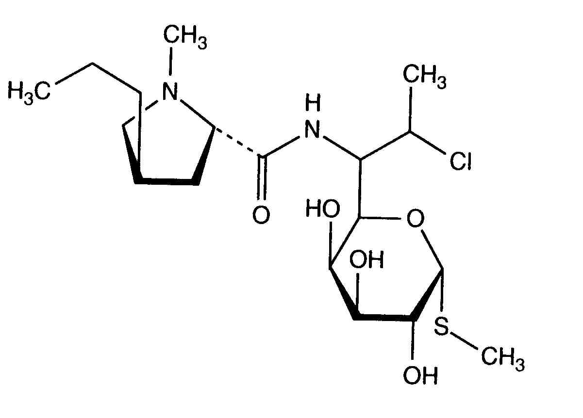
   التركيب الكيميائي  

حجز الاسم التجاري   حجز الاسم التجاري     

تحذير الأسماء التجاريه المختلفه قد تحتوي علي محتوي إضافات مختلفة حسب الدوله و المعمل

Biodaclin المكسيك
Camyda الهند
Cinbiot المكسيك
Cleocin النمسا, الولايات المتحدة, تركيا
Clinamsa المكسيك
Clinbac بيرو, كولومبيا
Clincina البرتغال
Clinda-Saar ألمانيا
Clindacid فنزويلا
Clindacin ماليزيا
Clindalaf الأرجنتين
Clindamicina إسبانيا, إيطاليا, الأرجنتين, الإكوادور, البرازيل, البرتغال, المكسيك, بيرو, تشيلي, فنزويلا, كولومبيا
Clindamycin ألمانيا, إيران, السويد, العربية السعودية, النرويج, النمسا, الولايات المتحدة, رومانيا, كندا
Clindamycin-Hameln ألمانيا
Clindamycine بلجيكا, تونس, فرنسا, هولندا
Clindanovag الأرجنتين
Clindarix البرازيل
Clindasol ألمانيا
Clindaval فنزويلا
Clindazyn المكسيك
Clindo بولندا
Clysvic المكسيك
Daclin تشيلي
Dalacin أستراليا, أيسلندا, إيران, إيطاليا, الإكوادور, الإمارات العربية المتحدة, الدنمارك, السويد, العربية السعودية, المكسيك, النرويج, الهند, ايرلندا, بريطانيا العظمي, بلجيكا, بولندا, تشيلي, تونس, زيلاندا الجديدة, سويسرا, فنزويلا, فنلندا, كندا, كولومبيا, لوكسمبورغ, ماليزيا, مصر, هنغاريا, هولندا, يونان
Dalacine تونس, فرنسا
Daladic إيران
Dalcinex الهند
Damclid الهند
Damicin المكسيك, كولومبيا
Damicine كولومبيا
Dolarclin كولومبيا
Euroclin الإكوادور, كولومبيا
Gynasafe الهند
Indamid المكسيك
Klimicin بولندا
Klindan تركيا
Klindaver تركيا
Lanacine النمسا
Lincocin ماليزيا
Lincosa ماليزيا
Meneklin تركيا
Sobelin ألمانيا
Tidact ماليزيا
الاستقرار في حلول   حقن   الاستقرار في حلول : Clindamycin phosphate     
حاوية مذيب تركيز درجة الحرارة تخزين مدة الاستقرار مراجع
زجاج حقن المياه لل 15 mg/ml 22°C بعيدا عن الضوء
91 يوم
80
C مستوى الأدلة

زجاج حقن المياه لل 15 mg/ml 4°C بعيدا عن الضوء
91 يوم
80
C مستوى الأدلة

زجاج كلوريد الصوديوم 0.9% 6 , 9 & 12 mg/ml -10°C بعيدا عن الضوء
56 يوم
566

زجاج كلوريد الصوديوم 0.9% 6 , 9 & 12 mg/ml 25°C لم يتم تحديد
16 يوم
566

زجاج كلوريد الصوديوم 0.9% 6 , 9 & 12 mg/ml 4°C بعيدا عن الضوء
32 يوم
566

زجاج كلوريد الصوديوم 0.9% 9 mg/ml 24°C ضوء
24 ساعة
421
joker

زجاج كلوريد الصوديوم 0.9% 9 mg/ml 25°C ضوء
48 ساعة
418
D مستوى الأدلة

زجاج كلوريد الصوديوم 0.9% 9 mg/ml 25°C لم يتم تحديد
48 ساعة
565
D مستوى الأدلة

زجاج كلوريد الصوديوم 0.9% 9 & 12 mg/ml 25°C ضوء
48 ساعة
432
D مستوى الأدلة

زجاج الجلوكوز %5 6 , 9 & 12 mg/ml -10°C بعيدا عن الضوء
56 يوم
566

زجاج الجلوكوز %5 6 , 9 & 12 mg/ml 25°C لم يتم تحديد
16 يوم
566

زجاج الجلوكوز %5 6 , 9 & 12 mg/ml 4°C بعيدا عن الضوء
32 يوم
566

زجاج الجلوكوز %5 9 mg/ml 24°C ضوء
24 ساعة
421
joker

زجاج الجلوكوز %5 9 mg/ml 25°C ضوء
48 ساعة
418
D مستوى الأدلة

زجاج الجلوكوز %5 9 mg/ml 25°C لم يتم تحديد
48 ساعة
565
D مستوى الأدلة

زجاج الجلوكوز %5 9 & 12 mg/ml 25°C ضوء
48 ساعة
432
D مستوى الأدلة

البولي فينيل كلوريد كلوريد الصوديوم 0.9% 6 , 9 & 12 mg/ml -10°C بعيدا عن الضوء
56 يوم
566

البولي فينيل كلوريد كلوريد الصوديوم 0.9% 6 , 9 & 12 mg/ml 25°C لم يتم تحديد
16 يوم
566

البولي فينيل كلوريد كلوريد الصوديوم 0.9% 6 , 9 & 12 mg/ml 4°C بعيدا عن الضوء
32 يوم
566

البولي فينيل كلوريد كلوريد الصوديوم 0.9% 6 & 12 mg/ml -10°C بعيدا عن الضوء
68 يوم
567
A مستوى الأدلة

البولي فينيل كلوريد كلوريد الصوديوم 0.9% 6 & 12 mg/ml 25°C لم يتم تحديد
22 يوم
567
A مستوى الأدلة

البولي فينيل كلوريد كلوريد الصوديوم 0.9% 6 & 12 mg/ml 5°C بعيدا عن الضوء
54 يوم
567
A مستوى الأدلة

البولي فينيل كلوريد كلوريد الصوديوم 0.9% 9 mg/ml -20°C بعيدا عن الضوء
28 يوم
565
D مستوى الأدلة

البولي فينيل كلوريد كلوريد الصوديوم 0.9% 9 mg/ml 24°C ضوء
24 ساعة
421
joker

البولي فينيل كلوريد الجلوكوز %5 6 mg/ml -20°C بعيدا عن الضوء
30 يوم
575
التحليل البيولوجي

البولي فينيل كلوريد الجلوكوز %5 6 , 9 & 12 mg/ml -10°C بعيدا عن الضوء
56 يوم
566

البولي فينيل كلوريد الجلوكوز %5 6 , 9 & 12 mg/ml 25°C لم يتم تحديد
16 يوم
566

البولي فينيل كلوريد الجلوكوز %5 6 , 9 & 12 mg/ml 4°C بعيدا عن الضوء
32 يوم
566

البولي فينيل كلوريد الجلوكوز %5 6 & 12 mg/ml -10°C بعيدا عن الضوء
68 يوم
567
A مستوى الأدلة

البولي فينيل كلوريد الجلوكوز %5 6 & 12 mg/ml 25°C لم يتم تحديد
22 يوم
567
A مستوى الأدلة

البولي فينيل كلوريد الجلوكوز %5 6 & 12 mg/ml 5°C بعيدا عن الضوء
54 يوم
567
A مستوى الأدلة

البولي فينيل كلوريد الجلوكوز %5 9 mg/ml -20°C بعيدا عن الضوء
28 يوم
565
D مستوى الأدلة

البولي فينيل كلوريد الجلوكوز %5 9 mg/ml 24°C ضوء
24 ساعة
421
joker

البولي ايثيلين كلوريد الصوديوم 0.9% 3 mg/ml 22°C بعيدا عن الضوء
24 ساعة
1067
C مستوى الأدلة

البولي ايثيلين كلوريد الصوديوم 0.9% 3 mg/ml 4°C بعيدا عن الضوء
24 ساعة
1067
C مستوى الأدلة

البولي ايثيلين الجلوكوز %5 3 mg/ml 22°C بعيدا عن الضوء
24 ساعة
1067
C مستوى الأدلة

البولي ايثيلين الجلوكوز %5 3 mg/ml 4°C بعيدا عن الضوء
24 ساعة
1067
C مستوى الأدلة

الإثيلين خلات الفينيل كلوريد الصوديوم 0.9% 6 & 12 mg/ml 23°C بعيدا عن الضوء
7 يوم
1815
 A+ مستوى الأدلة

الإثيلين خلات الفينيل كلوريد الصوديوم 0.9% 6 & 12 mg/ml 4°C بعيدا عن الضوء
30 يوم
1815
 A+ مستوى الأدلة

محقنة البولي بروبلين كلوريد الصوديوم 0.9% 150 mg/ml 22°C-23°C ضوء
48 ساعة
639
D مستوى الأدلة

محقنة البولي بروبلين كلوريد الصوديوم 0.9% 60 mg/ml 25°C ضوء
48 ساعة
644
B مستوى الأدلة

ولي إيزوبرين إلاستومر كلوريد الصوديوم 0.9% 2 & 12 mg/ml 25°C لم يتم تحديد
24 ساعة
604
بيانات الشركة المصنعة \\ \'ق الاستقرار

ولي إيزوبرين إلاستومر كلوريد الصوديوم 0.9% 2 & 12 mg/ml 4°C بعيدا عن الضوء
10 يوم
604
بيانات الشركة المصنعة \\ \'ق الاستقرار

لم يتم تحديد كلوريد الصوديوم 0.9% 9,5 mg/ml 2-8°C لم يتم تحديد
49 يوم
4622
 A+ مستوى الأدلة

لم يتم تحديد كلوريد الصوديوم 0.9% 9,5 mg/ml 25°C لم يتم تحديد
24 ساعة
4622
 A+ مستوى الأدلة

لم يتم تحديد الجلوكوز %5 9,5 mg/ml 2-8°C لم يتم تحديد
47 يوم
4619
 A+ مستوى الأدلة

لم يتم تحديد الجلوكوز %5 9,5 mg/ml 25°C لم يتم تحديد
24 ساعة
4619
 A+ مستوى الأدلة


  Mentions Légales