Last update :
27/04/2026
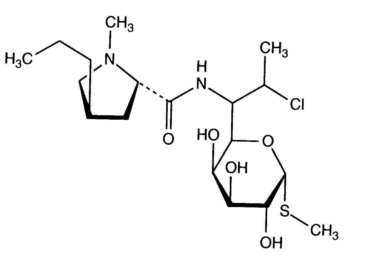
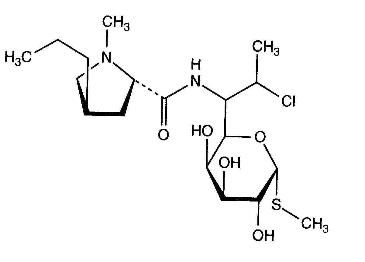
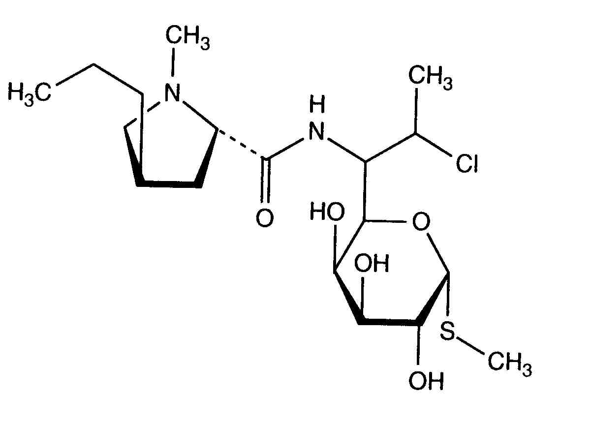
Antibiotic   Clindamycin phosphate  
injection
Stability in solutions Stability of mixtures Factors which affect stability Compatibility Route of administration References pdf
   Chemical structure  

Tradename   Tradename     

Trade names are indicative and excipients composition can be different depending on the country and manufacturers

Biodaclin Mexico
Camyda India
Cinbiot Mexico
Cleocin Austria, Turkey, United States of America
Clinamsa Mexico
Clinbac Colombia, Peru
Clincina Portugal
Clinda-Saar Germany
Clindacid Venezuela
Clindacin Malaysia
Clindalaf Argentina
Clindamicina Argentina, Brazil, Chile, Colombia, Ecuador, Italy, Mexico, Peru, Portugal, Spain, Venezuela
Clindamycin Austria, Canada, Germany, Iran, Norway, Romania, Saudi Arabia, Sweden, United States of America
Clindamycin-Hameln Germany
Clindamycine Belgium, France, Netherlands, Tunisia
Clindanovag Argentina
Clindarix Brazil
Clindasol Germany
Clindaval Venezuela
Clindazyn Mexico
Clindo Poland
Clysvic Mexico
Daclin Chile
Dalacin Australia, Belgium, Canada, Chile, Colombia, Denmark, Ecuador, Egypt, Finland, Great Britain, Greece, Hungary, Iceland, India, Iran, Ireland, Italy, Luxembourg, Malaysia, Mexico, Netherlands, New Zealand, Norway, Poland, Saudi Arabia, Sweden, Switzerland, Tunisia, United Arab Emirates, Venezuela
Dalacine France, Tunisia
Daladic Iran
Dalcinex India
Damclid India
Damicin Colombia, Mexico
Damicine Colombia
Dolarclin Colombia
Euroclin Colombia, Ecuador
Gynasafe India
Indamid Mexico
Klimicin Poland
Klindan Turkey
Klindaver Turkey
Lanacine Austria
Lincocin Malaysia
Lincosa Malaysia
Meneklin Turkey
Sobelin Germany
Tidact Malaysia
Stability in solutions   injection   Stability in solutions : Clindamycin phosphate     
Container Solvent Concentration Temperature Storage Duration of stability References
Glass Water for Injection 15 mg/ml 22°C Protect from light
91 Day
80
Level of evidence C

Glass Water for Injection 15 mg/ml 4°C Protect from light
91 Day
80
Level of evidence C

Glass Sodium chloride 0,9% 6 , 9 & 12 mg/ml -10°C Protect from light
56 Day
566

Glass Sodium chloride 0,9% 6 , 9 & 12 mg/ml 25°C Not specified
16 Day
566

Glass Sodium chloride 0,9% 6 , 9 & 12 mg/ml 4°C Protect from light
32 Day
566

Glass Sodium chloride 0,9% 9 mg/ml 24°C Light
24 Hour
421
Joker

Glass Sodium chloride 0,9% 9 mg/ml 25°C Light
48 Hour
418
Level of evidence D

Glass Sodium chloride 0,9% 9 mg/ml 25°C Not specified
48 Hour
565
Level of evidence D

Glass Sodium chloride 0,9% 9 & 12 mg/ml 25°C Light
48 Hour
432
Level of evidence D

Glass Glucose 5% 6 , 9 & 12 mg/ml -10°C Protect from light
56 Day
566

Glass Glucose 5% 6 , 9 & 12 mg/ml 25°C Not specified
16 Day
566

Glass Glucose 5% 6 , 9 & 12 mg/ml 4°C Protect from light
32 Day
566

Glass Glucose 5% 9 mg/ml 24°C Light
24 Hour
421
Joker

Glass Glucose 5% 9 mg/ml 25°C Light
48 Hour
418
Level of evidence D

Glass Glucose 5% 9 mg/ml 25°C Not specified
48 Hour
565
Level of evidence D

Glass Glucose 5% 9 & 12 mg/ml 25°C Light
48 Hour
432
Level of evidence D

Polyvinyl chloride Sodium chloride 0,9% 6 , 9 & 12 mg/ml -10°C Protect from light
56 Day
566

Polyvinyl chloride Sodium chloride 0,9% 6 , 9 & 12 mg/ml 25°C Not specified
16 Day
566

Polyvinyl chloride Sodium chloride 0,9% 6 , 9 & 12 mg/ml 4°C Protect from light
32 Day
566

Polyvinyl chloride Sodium chloride 0,9% 6 & 12 mg/ml -10°C Protect from light
68 Day
567
Level of evidence A

Polyvinyl chloride Sodium chloride 0,9% 6 & 12 mg/ml 25°C Not specified
22 Day
567
Level of evidence A

Polyvinyl chloride Sodium chloride 0,9% 6 & 12 mg/ml 5°C Protect from light
54 Day
567
Level of evidence A

Polyvinyl chloride Sodium chloride 0,9% 9 mg/ml -20°C Protect from light
28 Day
565
Level of evidence D

Polyvinyl chloride Sodium chloride 0,9% 9 mg/ml 24°C Light
24 Hour
421
Joker

Polyvinyl chloride Glucose 5% 6 mg/ml -20°C Protect from light
30 Day
575
Biological analysis

Polyvinyl chloride Glucose 5% 6 , 9 & 12 mg/ml -10°C Protect from light
56 Day
566

Polyvinyl chloride Glucose 5% 6 , 9 & 12 mg/ml 25°C Not specified
16 Day
566

Polyvinyl chloride Glucose 5% 6 , 9 & 12 mg/ml 4°C Protect from light
32 Day
566

Polyvinyl chloride Glucose 5% 6 & 12 mg/ml -10°C Protect from light
68 Day
567
Level of evidence A

Polyvinyl chloride Glucose 5% 6 & 12 mg/ml 25°C Not specified
22 Day
567
Level of evidence A

Polyvinyl chloride Glucose 5% 6 & 12 mg/ml 5°C Protect from light
54 Day
567
Level of evidence A

Polyvinyl chloride Glucose 5% 9 mg/ml -20°C Protect from light
28 Day
565
Level of evidence D

Polyvinyl chloride Glucose 5% 9 mg/ml 24°C Light
24 Hour
421
Joker

Polyethylene Sodium chloride 0,9% 3 mg/ml 22°C Protect from light
24 Hour
1067
Level of evidence C

Polyethylene Sodium chloride 0,9% 3 mg/ml 4°C Protect from light
24 Hour
1067
Level of evidence C

Polyethylene Glucose 5% 3 mg/ml 22°C Protect from light
24 Hour
1067
Level of evidence C

Polyethylene Glucose 5% 3 mg/ml 4°C Protect from light
24 Hour
1067
Level of evidence C

Ethylene vinyl acetate Sodium chloride 0,9% 6 & 12 mg/ml 23°C Protect from light
7 Day
1815
Level of evidence A+

Ethylene vinyl acetate Sodium chloride 0,9% 6 & 12 mg/ml 4°C Protect from light
30 Day
1815
Level of evidence A+

Polypropylen Syringe Sodium chloride 0,9% 150 mg/ml 22°C-23°C Light
48 Hour
639
Level of evidence D

Polypropylen Syringe Sodium chloride 0,9% 60 mg/ml 25°C Light
48 Hour
644
Level of evidence B

Polyisoprene elastomer Sodium chloride 0,9% 2 & 12 mg/ml 25°C Not specified
24 Hour
604
Manufacturer's stability data

Polyisoprene elastomer Sodium chloride 0,9% 2 & 12 mg/ml 4°C Protect from light
10 Day
604
Manufacturer's stability data

Not specified Sodium chloride 0,9% 9,5 mg/ml 2-8°C Not specified
49 Day
4622
Level of evidence A+

Not specified Sodium chloride 0,9% 9,5 mg/ml 25°C Not specified
24 Hour
4622
Level of evidence A+

Not specified Glucose 5% 9,5 mg/ml 2-8°C Not specified
47 Day
4619
Level of evidence A+

Not specified Glucose 5% 9,5 mg/ml 25°C Not specified
24 Hour
4619
Level of evidence A+


  Mentions Légales