Última actualização :
27/04/2026
antibiótico   Clindamycin phosphate  
injetável
Estabilidade em soluções simples Estabilidade em misturas Factores que afectam a sua estabilidade Compatibilidade Método de administração Bibliografía pdf
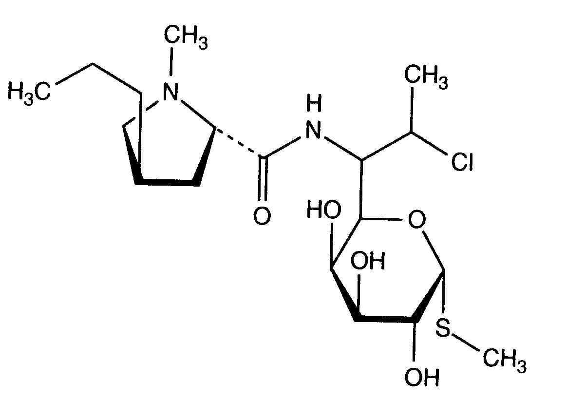
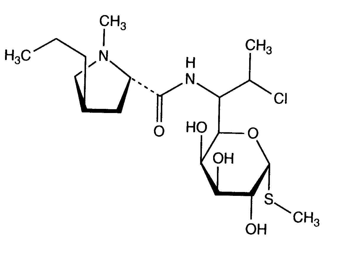
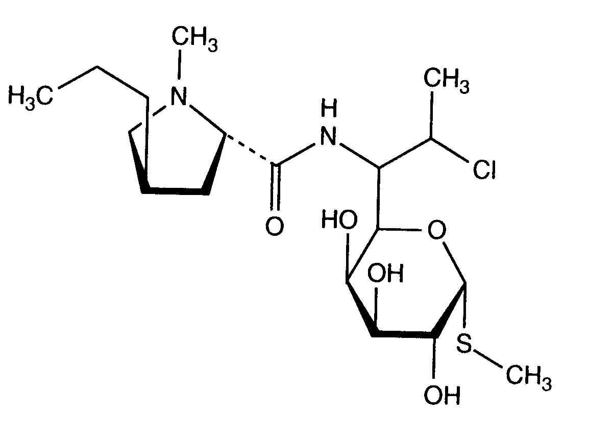
   estrutura química  

Nomes comerciais nos diversos países   Nomes comerciais nos diversos países     

OS NOMES COMERCIAIS SÃO INDICATIVOS E OS EXCIPIENTES DA FORMULAÇÃO PODEM SER DIFERENTES CONFORME O PAÍS E FABRICANTE.

Biodaclin México
Camyda Índia
Cinbiot México
Cleocin Austria, Estados Unidos de América, Turquia
Clinamsa México
Clinbac Colômbia, Peru
Clincina Portugal
Clinda-Saar Alemanha
Clindacid Venezuela
Clindacin Malásia
Clindalaf Argentina
Clindamicina Argentina, Brasil, Chilli, Colômbia, Equator, Espanha, Itália, México, Peru, Portugal, Venezuela
Clindamycin Alemanha, Arábia Saudita, Austria, Canadá, Estados Unidos de América, Irã, Noruega, Romènia, Suècia
Clindamycin-Hameln Alemanha
Clindamycine Bélgica, França, Países Baixos, Tunísia
Clindanovag Argentina
Clindarix Brasil
Clindasol Alemanha
Clindaval Venezuela
Clindazyn México
Clindo Polonia
Clysvic México
Daclin Chilli
Dalacin Arábia Saudita, Australia, Bélgica, Canadá, Chilli, Colômbia, Dinamarca, Egipto, Emirados Árabes Unidos, Equator, Finlandia, Gran-bretanha, Grècia, Hungria, Índia, Irã, Irlanda, Islandia, Itália, Luxemburgo, Malásia, México, Noruega, nova Zelândia, Países Baixos, Polonia, Suècia, Suicia, Tunísia, Venezuela
Dalacine França, Tunísia
Daladic Irã
Dalcinex Índia
Damclid Índia
Damicin Colômbia, México
Damicine Colômbia
Dolarclin Colômbia
Euroclin Colômbia, Equator
Gynasafe Índia
Indamid México
Klimicin Polonia
Klindan Turquia
Klindaver Turquia
Lanacine Austria
Lincocin Malásia
Lincosa Malásia
Meneklin Turquia
Sobelin Alemanha
Tidact Malásia
Estabilidade em soluções simples   injetável   Estabilidade em soluções simples : Clindamycin phosphate     
Embalagem Solvente concentração temperatura conservação Duração da estabilidade Bibliografia
vidro Agua para injectaveis 15 mg/ml 22°C ao abrigo da luz
91 dia
80
Nível de evidência C

vidro Agua para injectaveis 15 mg/ml 4°C ao abrigo da luz
91 dia
80
Nível de evidência C

vidro cloreto de sódio 0,9% 6 , 9 & 12 mg/ml -10°C ao abrigo da luz
56 dia
566

vidro cloreto de sódio 0,9% 6 , 9 & 12 mg/ml 25°C no especificado
16 dia
566

vidro cloreto de sódio 0,9% 6 , 9 & 12 mg/ml 4°C ao abrigo da luz
32 dia
566

vidro cloreto de sódio 0,9% 9 mg/ml 24°C luz
24 hora
421
Joker

vidro cloreto de sódio 0,9% 9 mg/ml 25°C luz
48 hora
418
Nível de evidência D

vidro cloreto de sódio 0,9% 9 mg/ml 25°C no especificado
48 hora
565
Nível de evidência D

vidro cloreto de sódio 0,9% 9 & 12 mg/ml 25°C luz
48 hora
432
Nível de evidência D

vidro Glucose 5% 6 , 9 & 12 mg/ml -10°C ao abrigo da luz
56 dia
566

vidro Glucose 5% 6 , 9 & 12 mg/ml 25°C no especificado
16 dia
566

vidro Glucose 5% 6 , 9 & 12 mg/ml 4°C ao abrigo da luz
32 dia
566

vidro Glucose 5% 9 mg/ml 24°C luz
24 hora
421
Joker

vidro Glucose 5% 9 mg/ml 25°C luz
48 hora
418
Nível de evidência D

vidro Glucose 5% 9 mg/ml 25°C no especificado
48 hora
565
Nível de evidência D

vidro Glucose 5% 9 & 12 mg/ml 25°C luz
48 hora
432
Nível de evidência D

Cloreto de polivinilo cloreto de sódio 0,9% 6 , 9 & 12 mg/ml -10°C ao abrigo da luz
56 dia
566

Cloreto de polivinilo cloreto de sódio 0,9% 6 , 9 & 12 mg/ml 25°C no especificado
16 dia
566

Cloreto de polivinilo cloreto de sódio 0,9% 6 , 9 & 12 mg/ml 4°C ao abrigo da luz
32 dia
566

Cloreto de polivinilo cloreto de sódio 0,9% 6 & 12 mg/ml -10°C ao abrigo da luz
68 dia
567
Nível de evidência A

Cloreto de polivinilo cloreto de sódio 0,9% 6 & 12 mg/ml 25°C no especificado
22 dia
567
Nível de evidência A

Cloreto de polivinilo cloreto de sódio 0,9% 6 & 12 mg/ml 5°C ao abrigo da luz
54 dia
567
Nível de evidência A

Cloreto de polivinilo cloreto de sódio 0,9% 9 mg/ml -20°C ao abrigo da luz
28 dia
565
Nível de evidência D

Cloreto de polivinilo cloreto de sódio 0,9% 9 mg/ml 24°C luz
24 hora
421
Joker

Cloreto de polivinilo Glucose 5% 6 mg/ml -20°C ao abrigo da luz
30 dia
575
análise biológica

Cloreto de polivinilo Glucose 5% 6 , 9 & 12 mg/ml -10°C ao abrigo da luz
56 dia
566

Cloreto de polivinilo Glucose 5% 6 , 9 & 12 mg/ml 25°C no especificado
16 dia
566

Cloreto de polivinilo Glucose 5% 6 , 9 & 12 mg/ml 4°C ao abrigo da luz
32 dia
566

Cloreto de polivinilo Glucose 5% 6 & 12 mg/ml -10°C ao abrigo da luz
68 dia
567
Nível de evidência A

Cloreto de polivinilo Glucose 5% 6 & 12 mg/ml 25°C no especificado
22 dia
567
Nível de evidência A

Cloreto de polivinilo Glucose 5% 6 & 12 mg/ml 5°C ao abrigo da luz
54 dia
567
Nível de evidência A

Cloreto de polivinilo Glucose 5% 9 mg/ml -20°C ao abrigo da luz
28 dia
565
Nível de evidência D

Cloreto de polivinilo Glucose 5% 9 mg/ml 24°C luz
24 hora
421
Joker

Polietileno cloreto de sódio 0,9% 3 mg/ml 22°C ao abrigo da luz
24 hora
1067
Nível de evidência C

Polietileno cloreto de sódio 0,9% 3 mg/ml 4°C ao abrigo da luz
24 hora
1067
Nível de evidência C

Polietileno Glucose 5% 3 mg/ml 22°C ao abrigo da luz
24 hora
1067
Nível de evidência C

Polietileno Glucose 5% 3 mg/ml 4°C ao abrigo da luz
24 hora
1067
Nível de evidência C

Etil-vinil-acetato cloreto de sódio 0,9% 6 & 12 mg/ml 23°C ao abrigo da luz
7 dia
1815
Nível de evidência A+

Etil-vinil-acetato cloreto de sódio 0,9% 6 & 12 mg/ml 4°C ao abrigo da luz
30 dia
1815
Nível de evidência A+

seringa polipropylen cloreto de sódio 0,9% 150 mg/ml 22°C-23°C luz
48 hora
639
Nível de evidência D

seringa polipropylen cloreto de sódio 0,9% 60 mg/ml 25°C luz
48 hora
644
Nível de evidência B

Elastômero de poliisopreno cloreto de sódio 0,9% 2 & 12 mg/ml 25°C no especificado
24 hora
604
Dados estabilidade do fabricante

Elastômero de poliisopreno cloreto de sódio 0,9% 2 & 12 mg/ml 4°C ao abrigo da luz
10 dia
604
Dados estabilidade do fabricante

no especificado cloreto de sódio 0,9% 9,5 mg/ml 2-8°C no especificado
49 dia
4622
Nível de evidência A+

no especificado cloreto de sódio 0,9% 9,5 mg/ml 25°C no especificado
24 hora
4622
Nível de evidência A+

no especificado Glucose 5% 9,5 mg/ml 2-8°C no especificado
47 dia
4619
Nível de evidência A+

no especificado Glucose 5% 9,5 mg/ml 25°C no especificado
24 hora
4619
Nível de evidência A+


  Mentions Légales