Seneste opdatering :
27/04/2026
Antibiotisk   Minocycline hydrochloride  
Injektion
Oral opløsning
Stabilitet i (vandige) opløsninger Stabilitet i blandinger Faktorer der påvirker stabiliteten Kompatibilitet Administrationsvej Bibliografi pdf
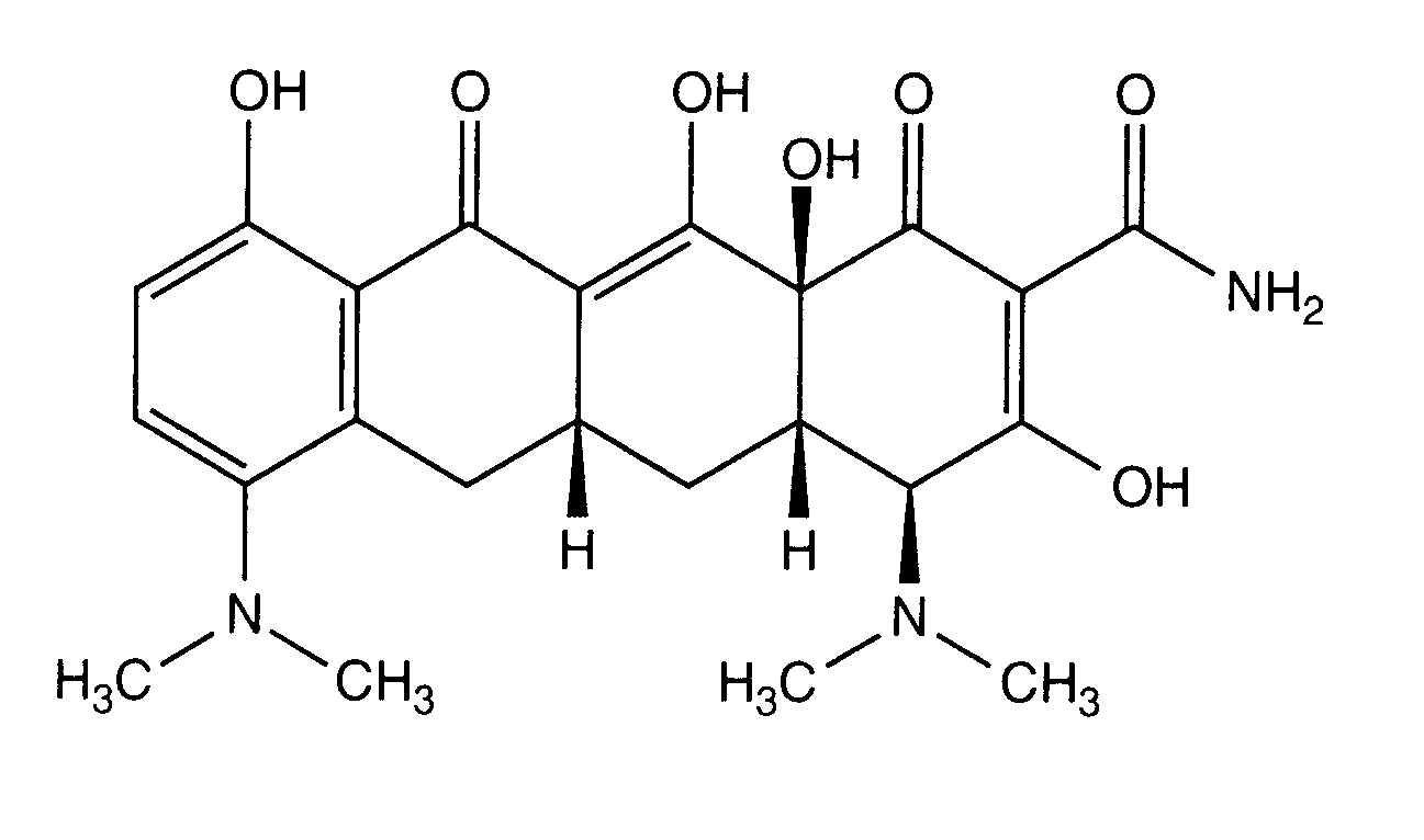
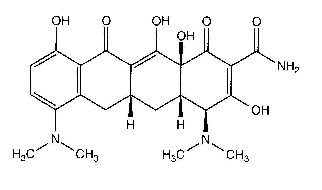
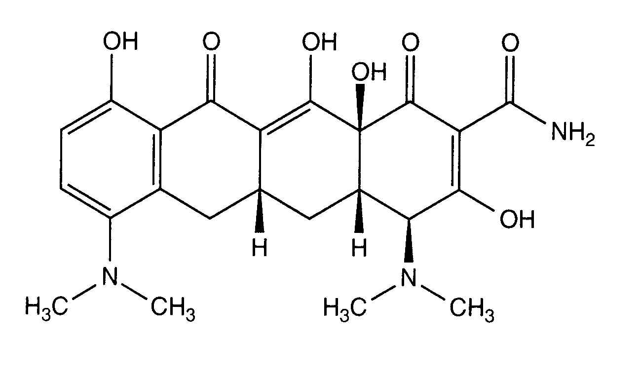
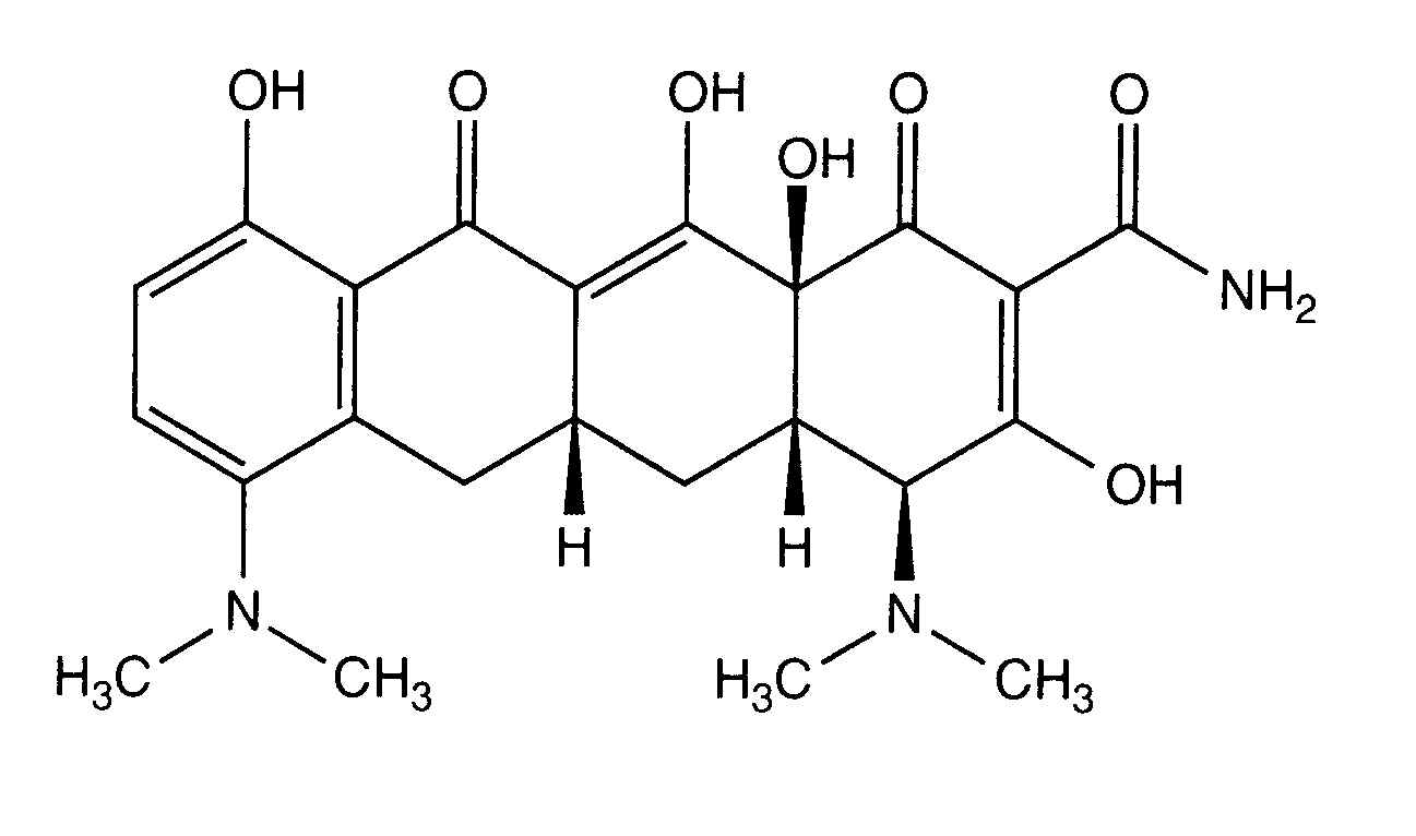
   Kemisk struktur  

Handelsnavn   Handelsnavn     

Handel navne er vejledende og hjælpestoffer sammensætning kan være forskellig afhængigt af landet og laboratorier

Minocin USA
Stabilitet i blandinger   Injektion   Stabilitet i blandinger : Minocycline hydrochloride     
Beholder Opløsningsmiddel Koncentration Molekyle Temperatur Konservering Varighed af stabilitet Bibliografi
Polyvinylklorid 0,9 % Natriumklorid 0,1 mg/ml
Injektion   Minocycline hydrochloride   
Injektion   Rifampicin 0,1 mg/ml
24°C
8 Time
Ikke nærmere angivet 263
Level af bevismateriale B+
Polyvinylklorid 0,9 % Natriumklorid 0,1 mg/ml
Injektion   Minocycline hydrochloride   
Injektion   Rifampicin 0,1 mg/ml
4°C
72 Time
Beskyt mod lys 263
Level af bevismateriale B+

  Mentions Légales