Letztes “update” :
27/04/2026
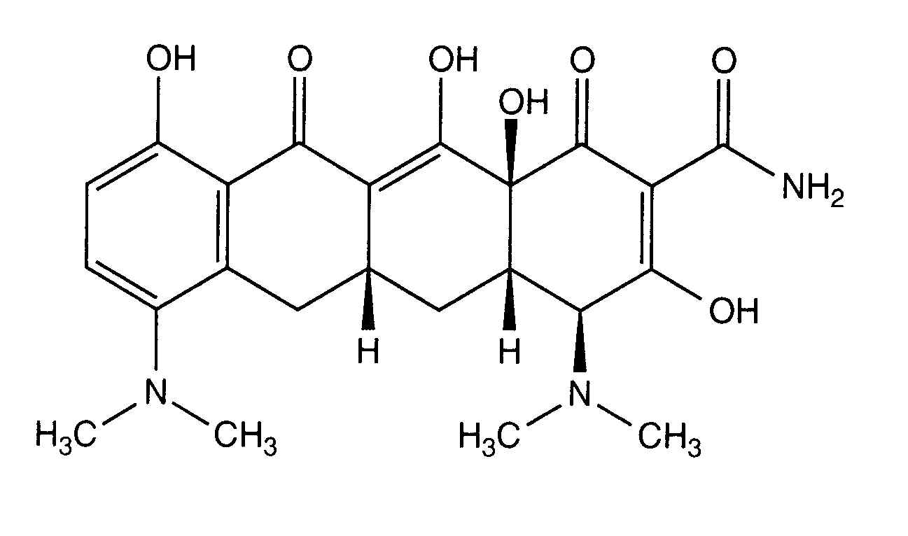
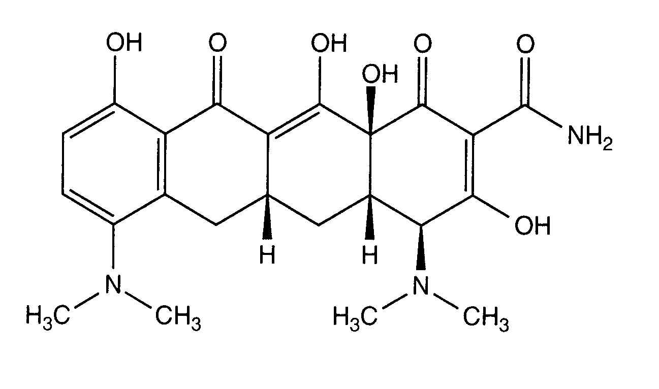
Antibiotikum   Minocycline hydrochloride  
Injektion
Lösung zum Einnehmen
Stabilität der Lösung Gemengestabilität Stabilitätbeeinflussende Faktoren Kompatibilitäten Applikationsart Literaturverzeichnis pdf
   Chemische Struktur  

Handelsmarke   Handelsmarke     

Handelsnamen sind als beispielhaft anzusehen. Sonstige Bestandteile können je nach Hersteller oder Land verschieden sein

Minocin Vereinigte Staaten von Amerika
Gemengestabilität   Injektion   Gemengestabilität : Minocycline hydrochloride     
Behälter Lösungsmittel Konzentration Molekül Temperatur Konservierung Dauer der Stabilität Literaturverzeichnis
Polyvinylchlorid 0,9% Natriumchlorid 0,1 mg/ml
Injektion   Minocycline hydrochloride   
Injektion   Rifampicin 0,1 mg/ml
24°C
8 Stunde
Nicht genau angegeben 263
Evidenzgrad B+
Polyvinylchlorid 0,9% Natriumchlorid 0,1 mg/ml
Injektion   Minocycline hydrochloride   
Injektion   Rifampicin 0,1 mg/ml
4°C
72 Stunde
Ohne Licht 263
Evidenzgrad B+

  Mentions Légales