Viimeisin päivitys :
27/04/2026
Antibiootit   Minocycline hydrochloride  
Injektioneste
Oraaliliuos
Stabilius liuoksessa Stabilius seoksissa Tekijät, jotka vaikuttavat stabiliuteen Yhteensopivuus Antotapa Viitteet pdf
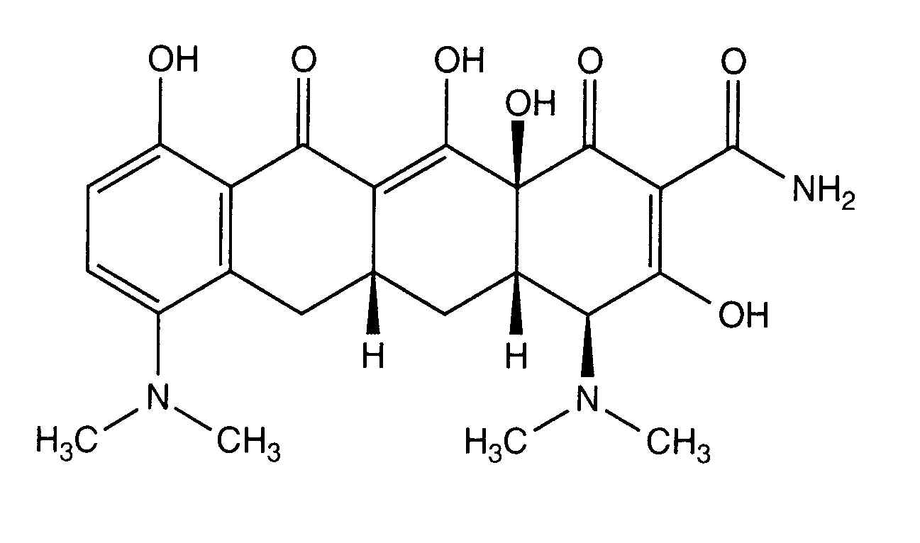
   Kemiallinen rakenne  

Kauppanimi   Kauppanimi     

Trade names are indicative and excipients composition can be different depending on the country and manufacturers

Minocin Yhdysvallat
Stabilius seoksissa   Injektioneste   Stabilius seoksissa : Minocycline hydrochloride     
Astia Liuotin Konsentraatio Yhdiste Lämpötila Säilytys Vakauden kesto Viitteet
Polyvinyylikloridi Natriumkloridi 0,9% 0,1 mg/ml
Injektioneste   Minocycline hydrochloride   
Injektioneste   Rifampicin 0,1 mg/ml
24°C
8 tunti
Ei määritetty 263
Näytön laajuus B+
Polyvinyylikloridi Natriumkloridi 0,9% 0,1 mg/ml
Injektioneste   Minocycline hydrochloride   
Injektioneste   Rifampicin 0,1 mg/ml
4°C
72 tunti
Suojattava valolta 263
Näytön laajuus B+

  Mentions Légales