Pēdējā atjaunošana :
31/03/2026
Antibiotika   Minocycline hydrochloride  
Injekcija
Orāls šķīdums
Šķīduma stabilitāte Maisījuma stabilitāte Stabilitāti ietekmējoši faktori Saderība Levadīšanas veids Literatūras saraksts pdf
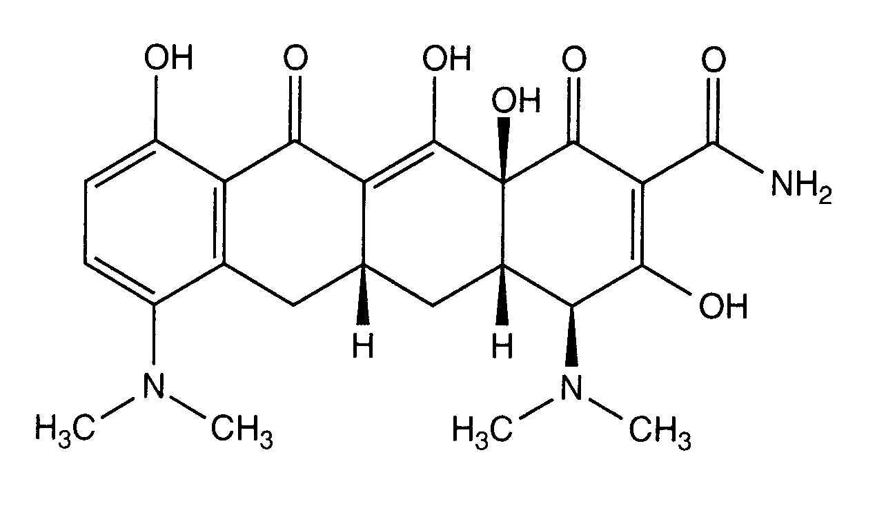
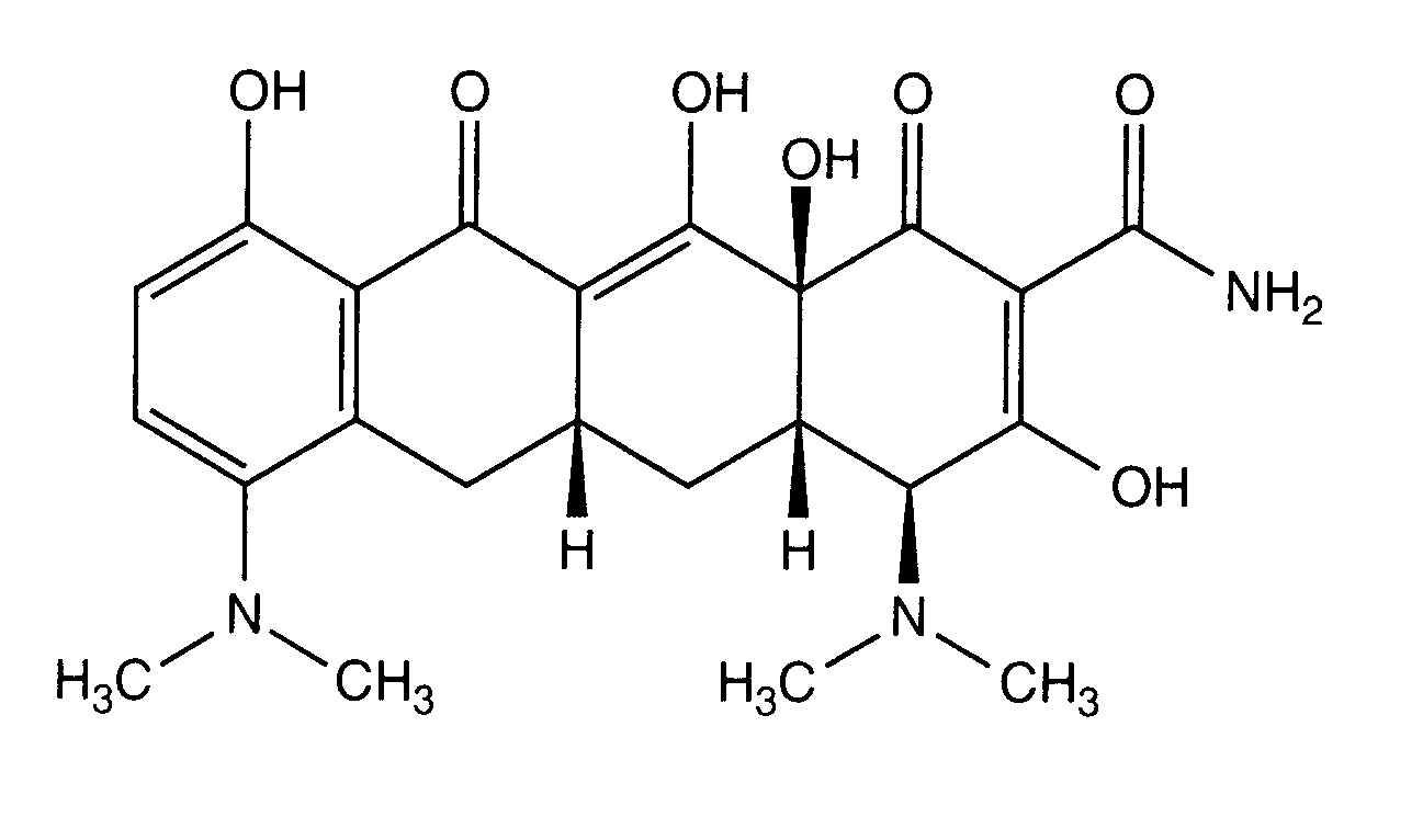
   Ķīmiskā uzbūve   

Oriģinālais nosaukums   Oriģinālais nosaukums     

Tirdzniecības nosaukumi ir apzīmējoši un palīgvielas var atšķirties dažādām valstīm un laboratorijām

Minocin Amerikas Savienotās Valstis
Maisījuma stabilitāte   Injekcija   Maisījuma stabilitāte : Minocycline hydrochloride     
Iepakojums Šķīdinātājs Koncentrācija Savienojums Temperatūra Glabāšana Stabilitātes ilgums Literatūras saraksts
Polivinilhlorīds Nātrija hlorīds 0.9% 0,1 mg/ml
Injekcija   Minocycline hydrochloride   
Injekcija   Rifampicin 0,1 mg/ml
24°C
8 Stunda
Nav specifisks 263
Pierādījumu līmenis B+
Polivinilhlorīds Nātrija hlorīds 0.9% 0,1 mg/ml
Injekcija   Minocycline hydrochloride   
Injekcija   Rifampicin 0,1 mg/ml
4°C
72 Stunda
Aizsargāt no gaismas 263
Pierādījumu līmenis B+

  Mentions Légales