Laatste update :
27/04/2026
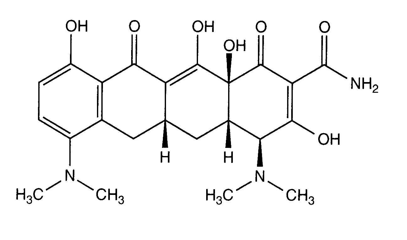
Antibioticum   Minocycline hydrochloride  
injecteerbaar geneesmiddel
Orale Oplossing
Stabiliteit in oplossing Stabiliteit in mengsels Factoren die de stabiliteit beïnvloeden Verenigbaarheden Toedieningswijze Literatuur pdf
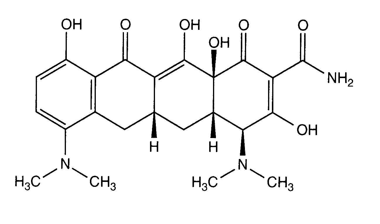
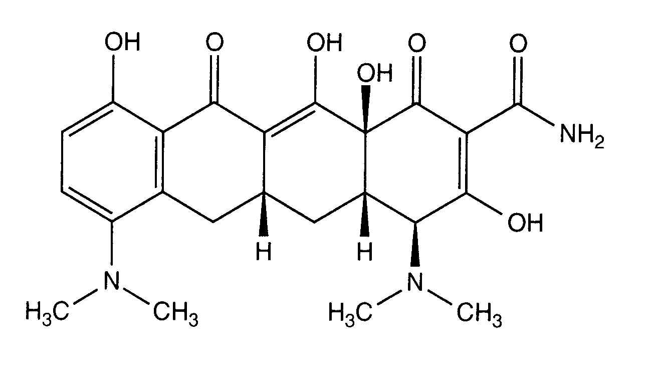
   Molecuulstructuur  

Merknamen in verschillende landen   Merknamen in verschillende landen     

Handelsnamen zijn slechts een indicatie; de samenstelling van hulpstoffen kan per land variëren afhankelijk van de fabrikant

Minocin USA
Stabiliteit in mengsels   injecteerbaar geneesmiddel   Stabiliteit in mengsels : Minocycline hydrochloride     
Verpakking Oplosmiddel Concentratie Stof Temperatuur Bewaring Duur van de stabiliteit Literatuur
Polyvinylchloride (PVC) Natriumchloride 0,9% 0,1 mg/ml
injecteerbaar geneesmiddel   Minocycline hydrochloride   
injecteerbaar geneesmiddel   Rifampicin 0,1 mg/ml
24°C
8 Uur
Niet gespecificeerd 263
Niveau van bewijs B+
Polyvinylchloride (PVC) Natriumchloride 0,9% 0,1 mg/ml
injecteerbaar geneesmiddel   Minocycline hydrochloride   
injecteerbaar geneesmiddel   Rifampicin 0,1 mg/ml
4°C
72 Uur
Buiten invloed van licht 263
Niveau van bewijs B+

  Mentions Légales