Utolsó frissítés :
27/04/2026
Antibiotikum   Minocycline hydrochloride  
Injekció
belsőleges oldat
Az oldatok stabilitása A keverékek stabilitása Stabilitást befolyásoló tényezők Kompatibilitás Az alkalmazás módja Irodalom pdf
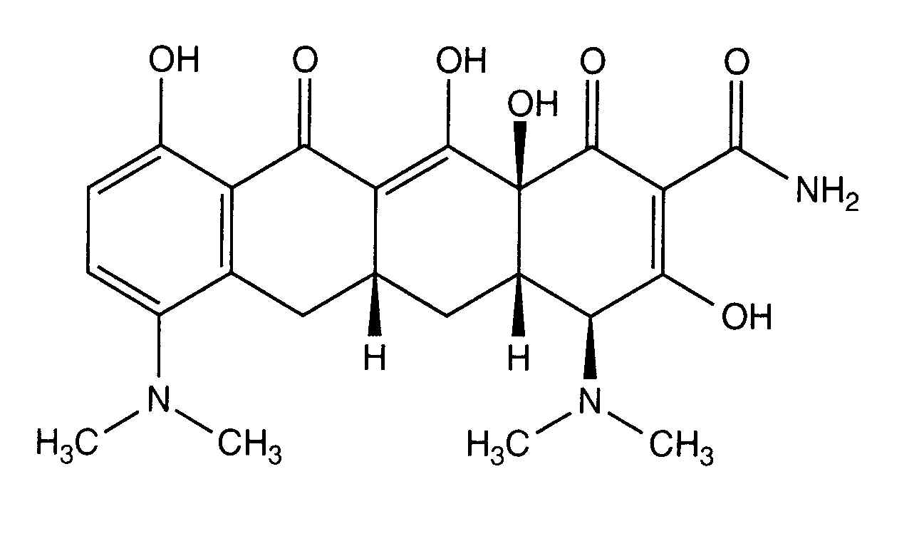
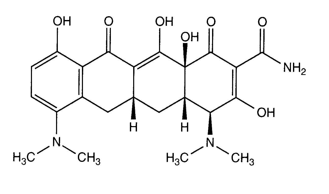
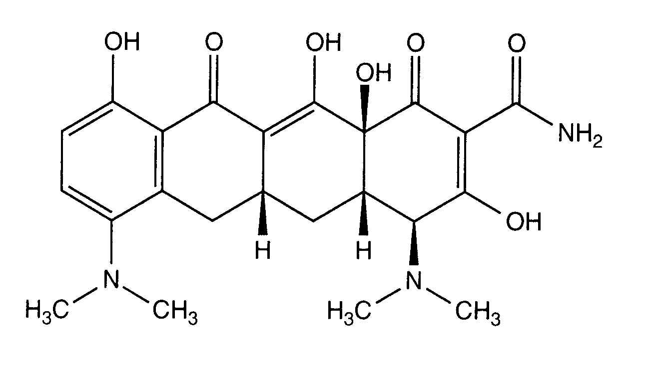
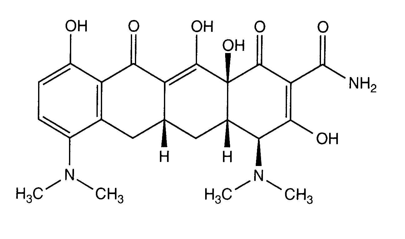
   Kémiai szerkezet   

Kereskedelmi név   Kereskedelmi név     

A kereskedelmi név meghatározó jelentőségű: a készítmények összetétele országonként, előállítóként eltérő lehet

Minocin Amerikai Egyesült Államok
A keverékek stabilitása   Injekció   A keverékek stabilitása : Minocycline hydrochloride     
Csomagolás Oldószer Koncentráció Vegyület Hőmérséklet Tárolás A stabilitás időtartama Irodalom
Poli(vinilklorid) 0,9% nátrium-klorid 0,1 mg/ml
Injekció   Minocycline hydrochloride   
Injekció   Rifampicin 0,1 mg/ml
24°C
8 Óra
Nincs meghatározva 263
Szintű bizonyítékot B+
Poli(vinilklorid) 0,9% nátrium-klorid 0,1 mg/ml
Injekció   Minocycline hydrochloride   
Injekció   Rifampicin 0,1 mg/ml
4°C
72 Óra
Fénytől védve tartandó 263
Szintű bizonyítékot B+

  Mentions Légales