Останнє оновлення :
27/04/2026
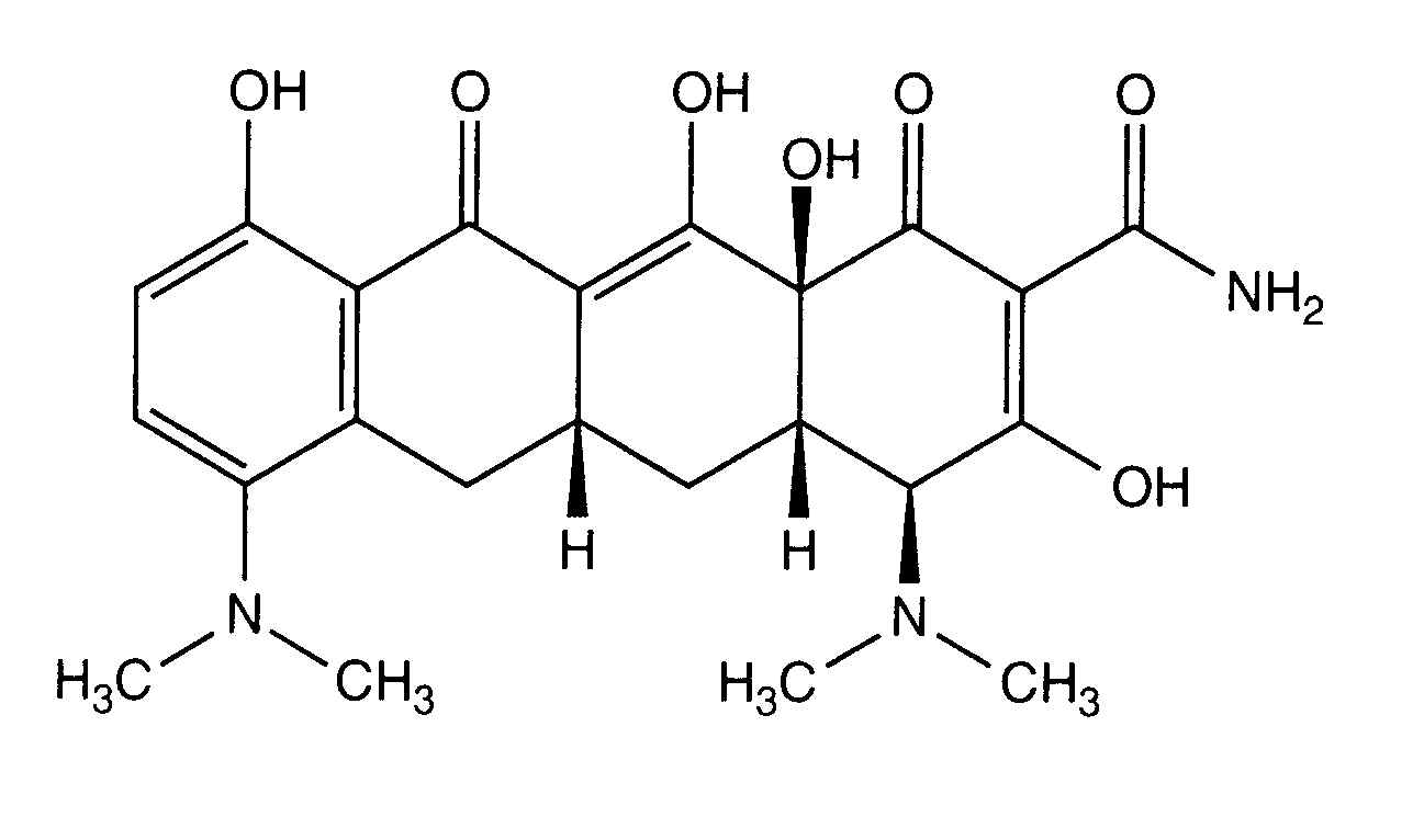
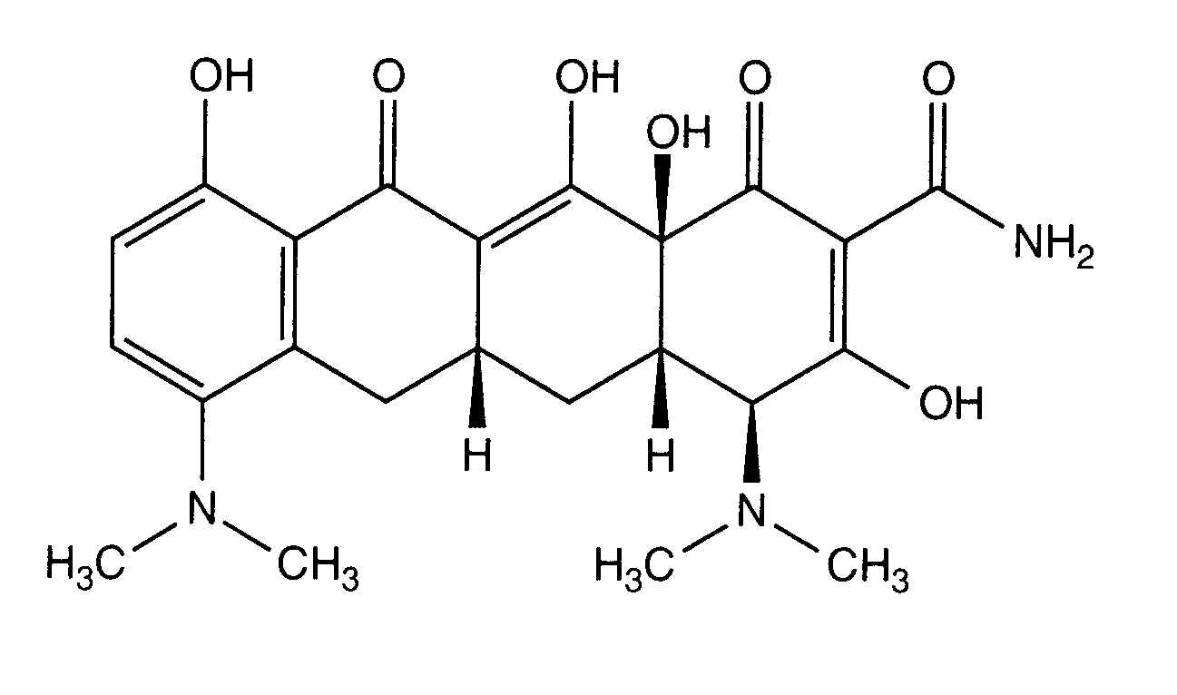
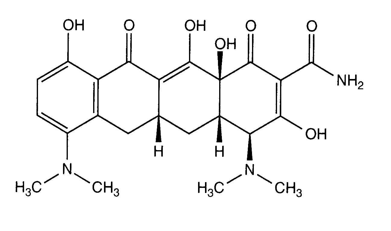
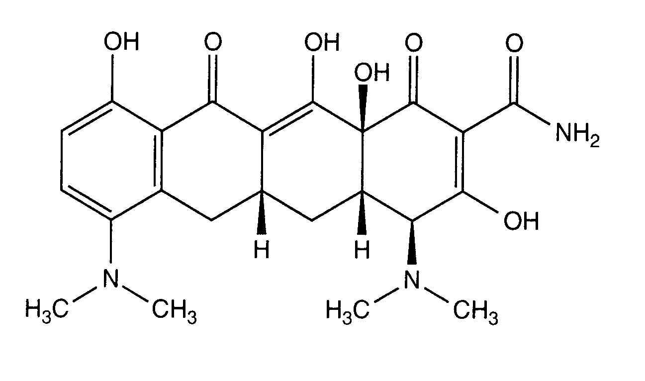
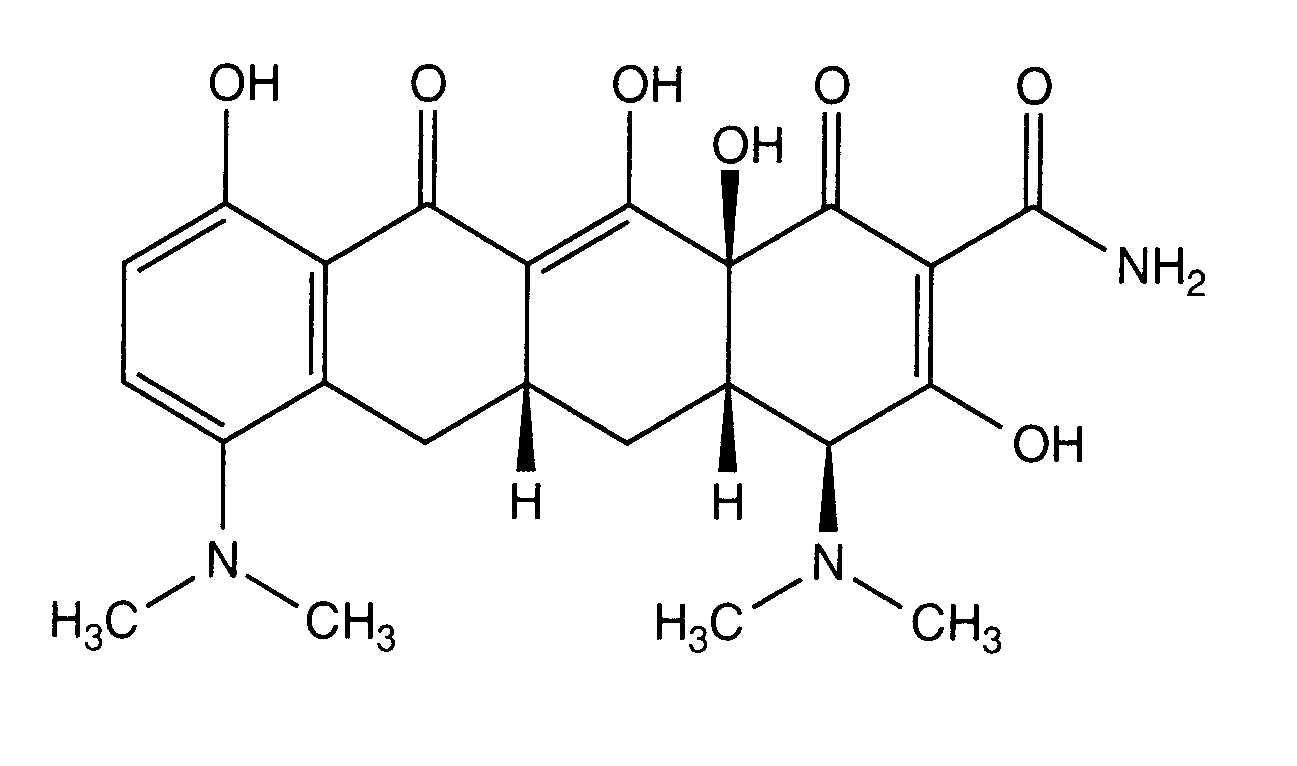
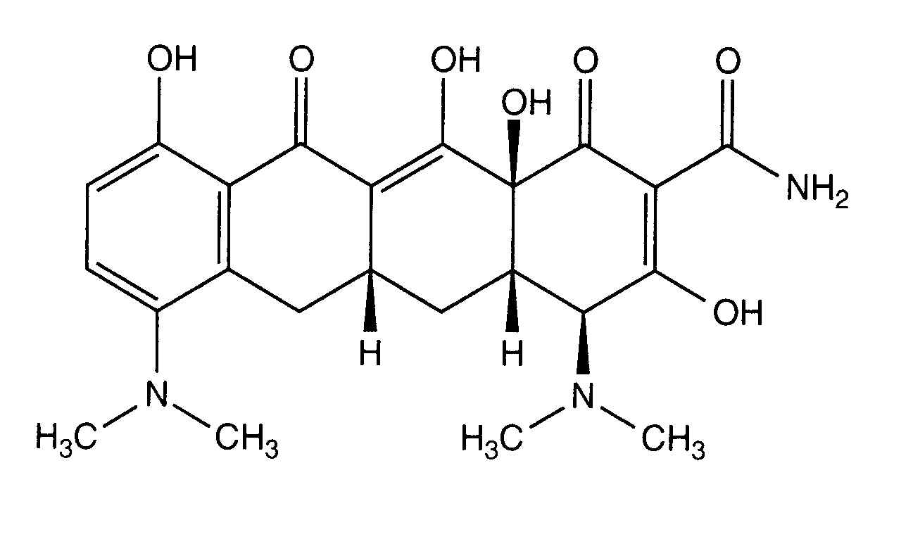
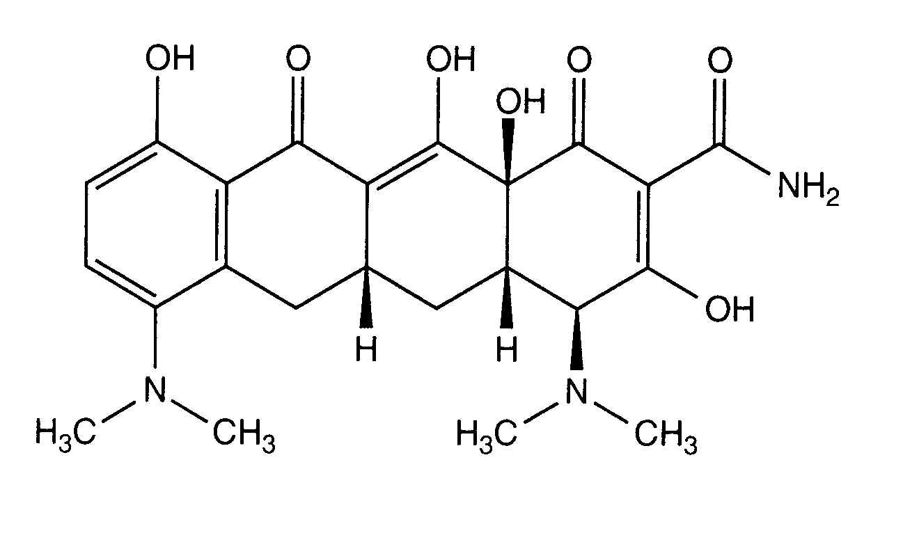
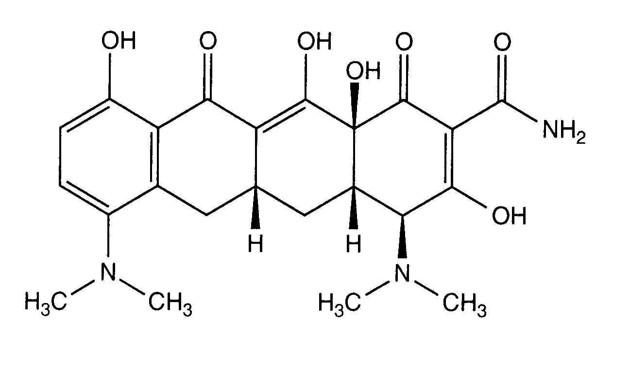
Антибіотик   Minocycline hydrochloride  
ін'єкція
Розчин для перорального застосування
Стійкість в розчинах Стійкість сумішей Фактори, що впливають на стабільність Сумісність Шлях введення Список літератури pdf
   Хімічна структура  

Торгова назва   Торгова назва     

Торгові назви є орієнтовними, а склад допоміжних речовин може бути різним залежно від країни та виробника

Minocin Сполучені Штати Америки
Стійкість сумішей   ін'єкція   Стійкість сумішей : Minocycline hydrochloride     
Контейнер Розчинник Концентрація З'єднання температура Зберігання Тривалість стабільності Список літератури
Полівініл хлорид Натрію хлорид 0,9% 0,1 mg/ml
ін'єкція   Minocycline hydrochloride   
ін'єкція   Rifampicin 0,1 mg/ml
24°C
8 годину
Не визначено 263
Рівень доказовості B+
Полівініл хлорид Натрію хлорид 0,9% 0,1 mg/ml
ін'єкція   Minocycline hydrochloride   
ін'єкція   Rifampicin 0,1 mg/ml
4°C
72 годину
Берегти від світла 263
Рівень доказовості B+

  Mentions Légales