Zadnji put ažurirano :
27/04/2026
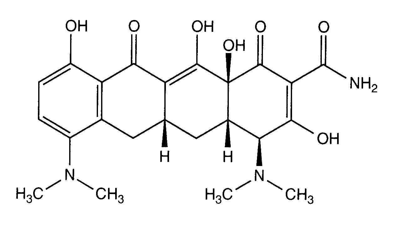
antibiotik   Minocycline hydrochloride  
injekcija
oralna otopina
Stabilizacija rješenja Stabilnost mješavine Stabilizacijski faktor Kompatibilnosti način davanja lijeka Bibliografija pdf
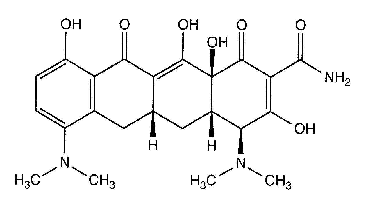
   Kemijska struktura  

Nekomercijalni   Nekomercijalni     

Zaštićeni nazivi su indikativni i sastav ekscipijensa može biti različit ovisno o državi i laboratorijima

Minocin S A D
Stabilnost mješavine   injekcija   Stabilnost mješavine : Minocycline hydrochloride     
Kontejner sredstvo za rastapanje koncentracija molekula temperatura Konzerviranje Trajanje stabilnosti Bibliografija
polivinilklorid natrijumkorid 0,9% 0,1 mg/ml
injekcija   Minocycline hydrochloride   
injekcija   Rifampicin 0,1 mg/ml
24°C
8 sat
nespecifičan 263
Razina dokaza B+
polivinilklorid natrijumkorid 0,9% 0,1 mg/ml
injekcija   Minocycline hydrochloride   
injekcija   Rifampicin 0,1 mg/ml
4°C
72 sat
Zaštićeno od svjetlosti 263
Razina dokaza B+

  Mentions Légales