آخر تحديث :
31/03/2026
مضاد حيوي   Minocycline hydrochloride  
حقن
عن طريق الفم
الاستقرار في حلول استقرار مخاليط العوامل التي تؤثر على الاستقرار التوافق طريقة التعاطي مراجع pdf
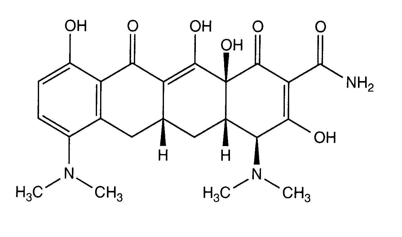
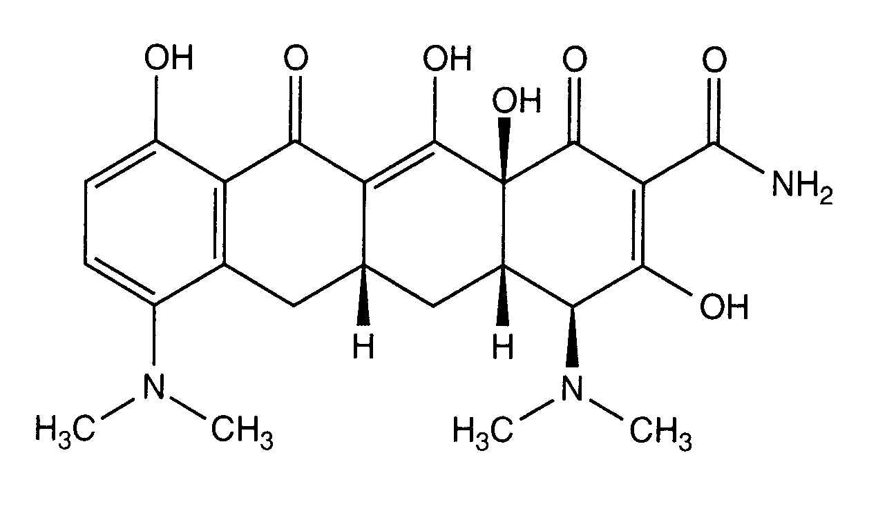
   التركيب الكيميائي  

حجز الاسم التجاري   حجز الاسم التجاري     

تحذير الأسماء التجاريه المختلفه قد تحتوي علي محتوي إضافات مختلفة حسب الدوله و المعمل

Minocin الولايات المتحدة
استقرار مخاليط   حقن   استقرار مخاليط : Minocycline hydrochloride     
حاوية مذيب تركيز مركب درجة الحرارة تخزين مدة الاستقرار مراجع
البولي فينيل كلوريد كلوريد الصوديوم 0.9% 0,1 mg/ml
حقن   Minocycline hydrochloride   
حقن   Rifampicin 0,1 mg/ml
24°C
8 ساعة
لم يتم تحديد 263
B+ مستوى الأدلة
البولي فينيل كلوريد كلوريد الصوديوم 0.9% 0,1 mg/ml
حقن   Minocycline hydrochloride   
حقن   Rifampicin 0,1 mg/ml
4°C
72 ساعة
بعيدا عن الضوء 263
B+ مستوى الأدلة

  Mentions Légales