Última actualización :
27/04/2026
Antibiótico   Minocycline hydrochloride  
Inyectables
Solución Oral
Estabilidad en solucion Estabilidad en mezcla Factores que influyen sobre la estabilidad Compatibilidades método de inyección Bibliografía pdf
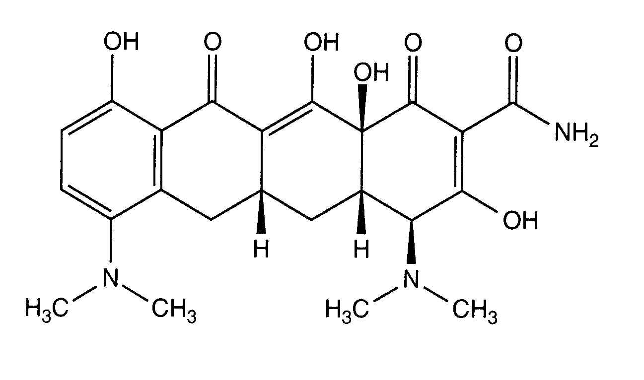
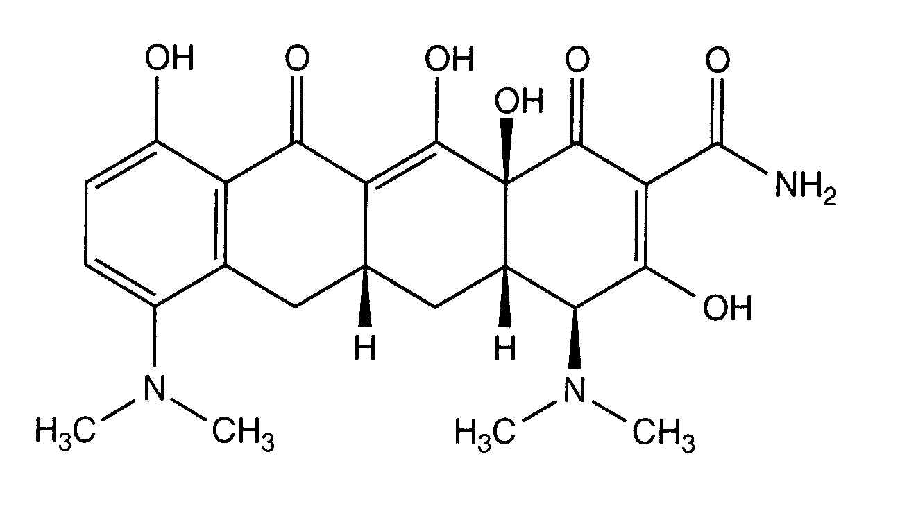
   Estructura química  

Nombre comercial   Nombre comercial     

Los nombres comerciales son orientativos y los excipientes de la formulación pueden ser distintos dependiendo del país y del laboratorio fabricante.

Minocin Estados Unidos de América
Estabilidad en mezcla   Inyectables   Estabilidad en mezcla : Minocycline hydrochloride     
Envase Solvente Concentración Molécula Temperatura Conservación Duración de la estabilidad Bibliografía
Cloruro de polivinilo Cloruro de sodio 0,9% 0,1 mg/ml
Inyectables   Minocycline hydrochloride   
Inyectables   Rifampicin 0,1 mg/ml
24°C
8 Hora
No precisada 263
Nivel de evidencia B+
Cloruro de polivinilo Cloruro de sodio 0,9% 0,1 mg/ml
Inyectables   Minocycline hydrochloride   
Inyectables   Rifampicin 0,1 mg/ml
4°C
72 Hora
A cubierto de la luz 263
Nivel de evidencia B+

  Mentions Légales