Son güncelleme :
27/04/2026
Antibiyotik   Minocycline hydrochloride  
Enjeksiyon
Oral solüsyon / oral çözelti
Çözeltilerin stabilitesi Karışımlardaki stabilitesi Stabiliteyi etkileyen faktörler Uyumluluk Uygulama yöntemi Kaynaklar pdf
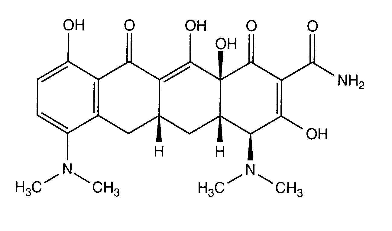
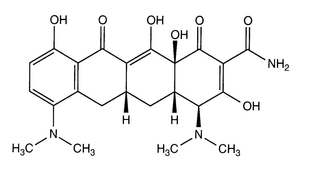
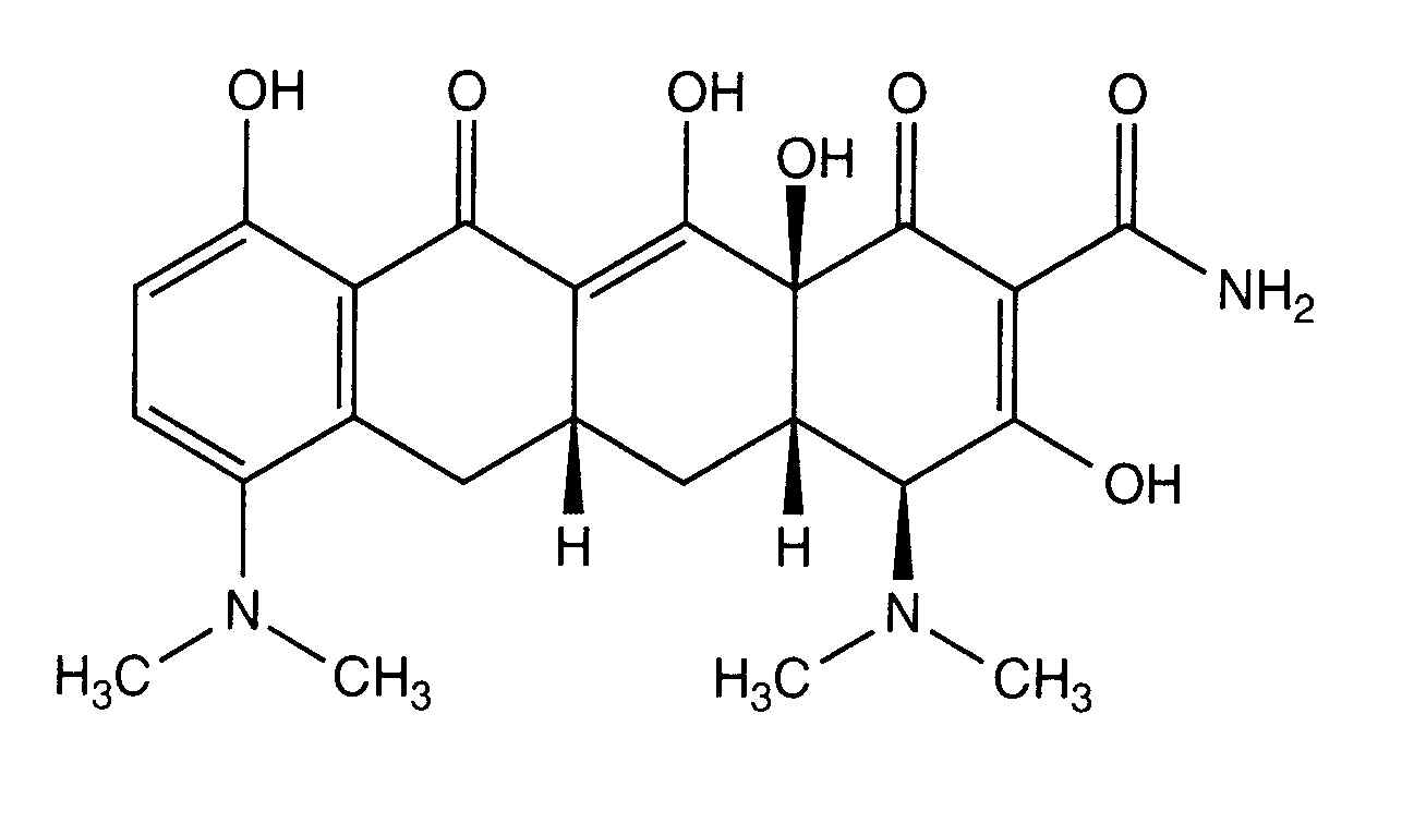
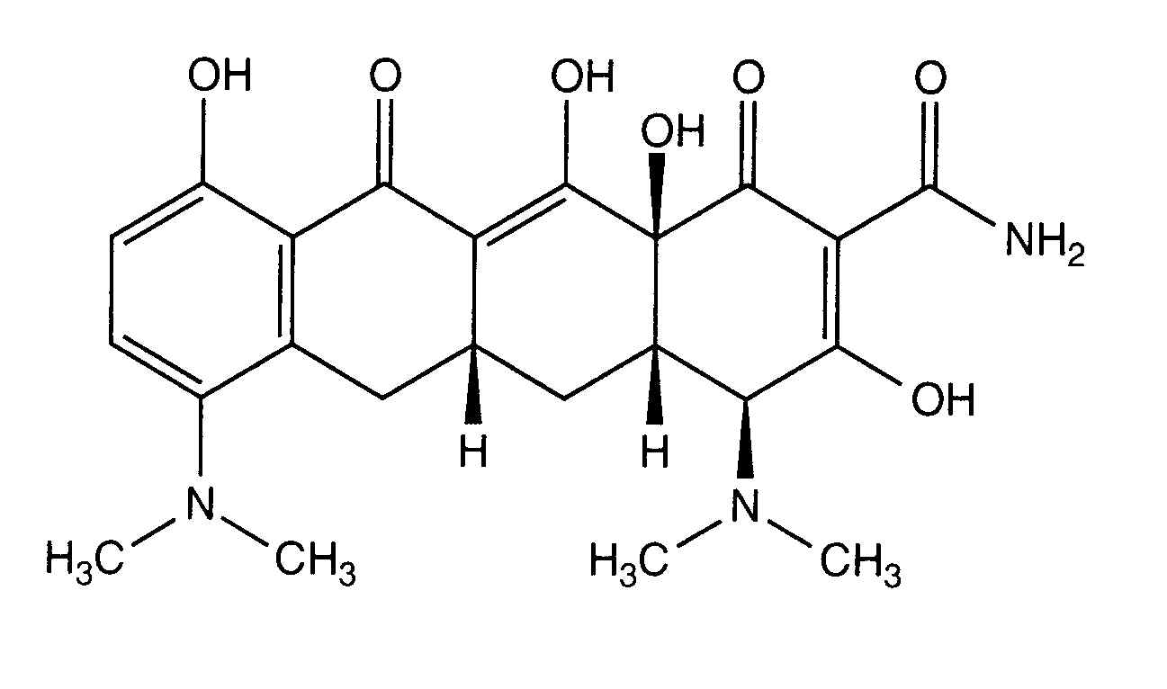
   Kimyasal yapı   

Ticari isim   Ticari isim     

Trade names are indicative and excipients composition can be different depending on the country and manufacturers

Minocin Amerika Birleşik Devletleri
Karışımlardaki stabilitesi   Enjeksiyon    Karışımlardaki stabilitesi : Minocycline hydrochloride     
Saklama kabı Çözücü Konsantrasyon Bileşik Isı Saklama    Stabilite süresi Kaynaklar
Polivinil klorür Sodyum klorür % 0,9 0,1 mg/ml
Enjeksiyon   Minocycline hydrochloride   
Enjeksiyon   Rifampicin 0,1 mg/ml
24°C
8 Zaman
Belirtilmemiş 263
Kanıt düzeyi B+
Polivinil klorür Sodyum klorür % 0,9 0,1 mg/ml
Enjeksiyon   Minocycline hydrochloride   
Enjeksiyon   Rifampicin 0,1 mg/ml
4°C
72 Zaman
Işıktan koruyunuz 263
Kanıt düzeyi B+

  Mentions Légales