Poslední aktualizace :
27/04/2026
Antibiotikas   Minocycline hydrochloride  
Įpurškimas
Geriamas tirpalas
Tirpalų stabilumas Mišinių stabilumas Stabilumą lemiantys veiksniai Suderinamumas Leidimo būdai Bibliografija pdf
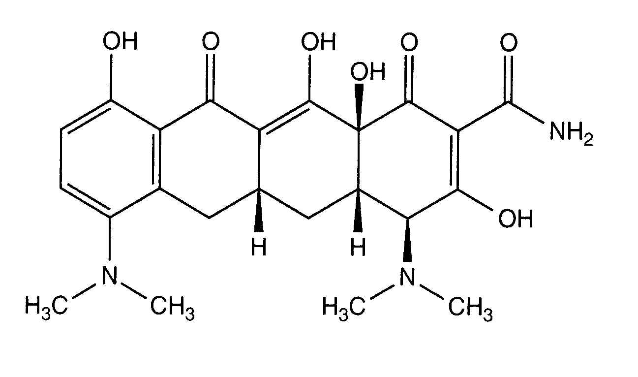
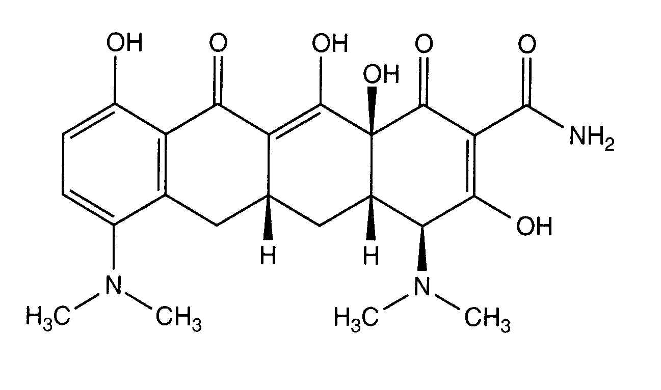
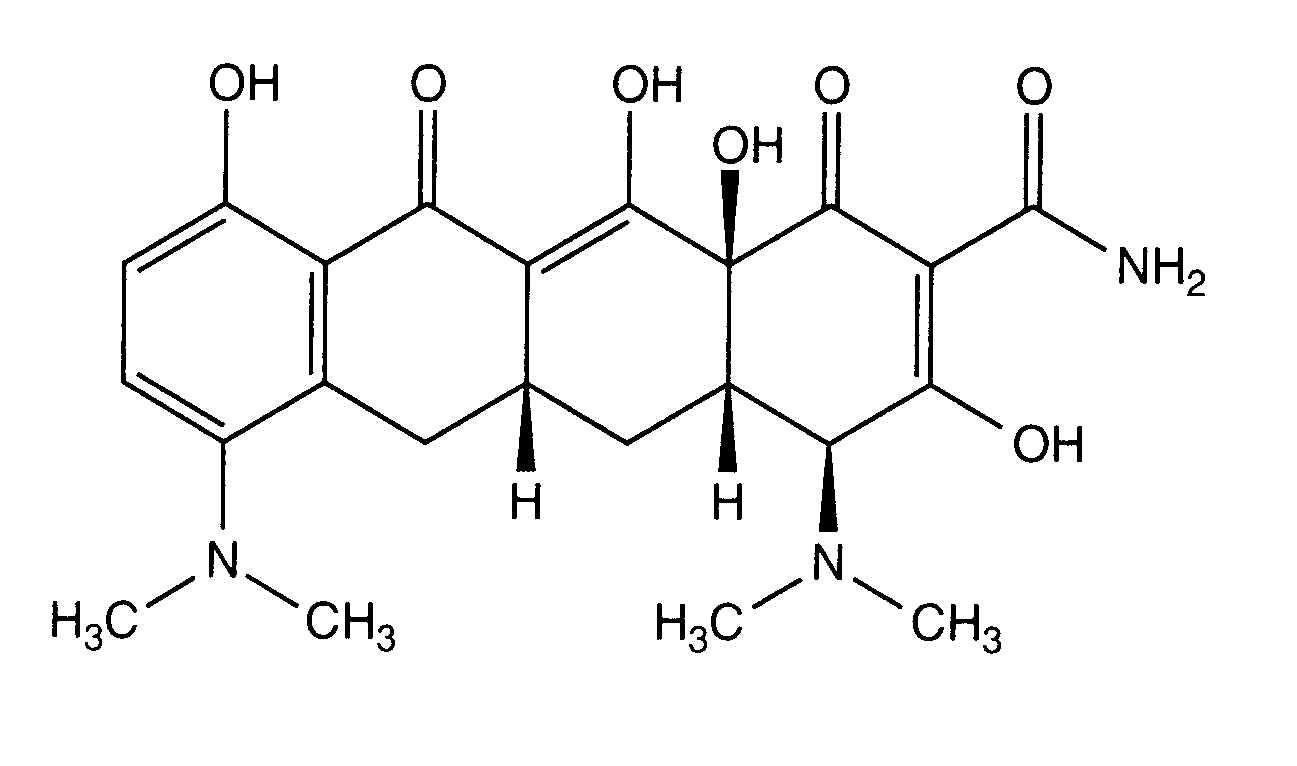
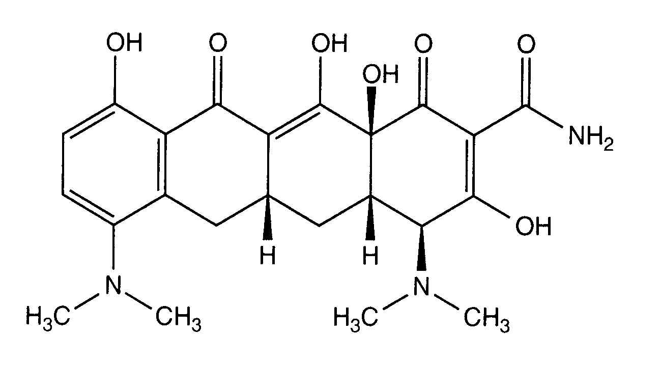
   Cheminė sandara  

Prekinis pavadinimas   Prekinis pavadinimas     

Trade names are indicative and excipients composition can be different depending on the country and manufacturers

Minocin Jungtinės Amerikos Valstijos
Mišinių stabilumas   Įpurškimas   Mišinių stabilumas : Minocycline hydrochloride     
Pakuotė Tirpiklis Koncentracija Molekulė Temperatūra Laikymas Stabilumo trukmė Nuorodos
Polivinilchloridas Natrio chloridas 0,9% 0,1 mg/ml
Įpurškimas   Minocycline hydrochloride   
Įpurškimas   Rifampicin 0,1 mg/ml
24°C
8 Valanda
Nenurodyta 263
Bandymo lygis B+
Polivinilchloridas Natrio chloridas 0,9% 0,1 mg/ml
Įpurškimas   Minocycline hydrochloride   
Įpurškimas   Rifampicin 0,1 mg/ml
4°C
72 Valanda
Apsaugotas nuo šviesos 263
Bandymo lygis B+

  Mentions Légales