Последнее обновление :
27/04/2026
Антибиотик   Minocycline hydrochloride  
Инъекция
Раствор для перорального приёма
Стабильность растворов Стабильность смесей Факторы, которые влияют на стабильность Совместимость Способы введения Библиография pdf
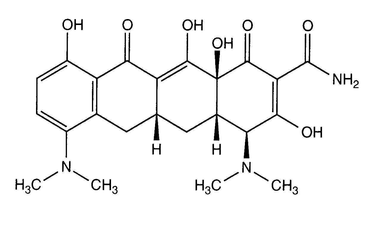
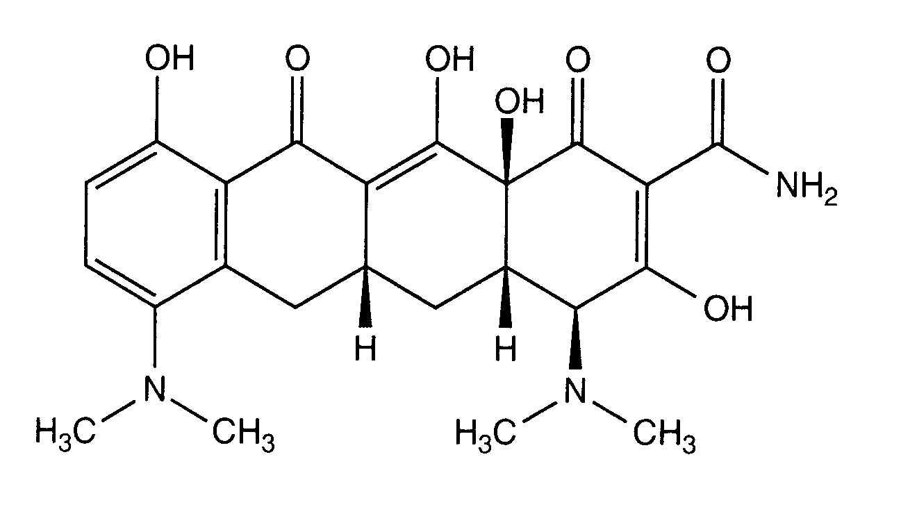
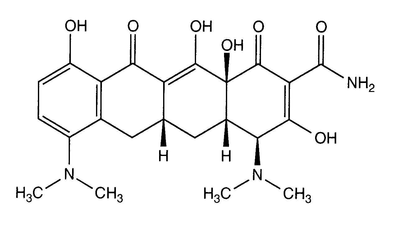
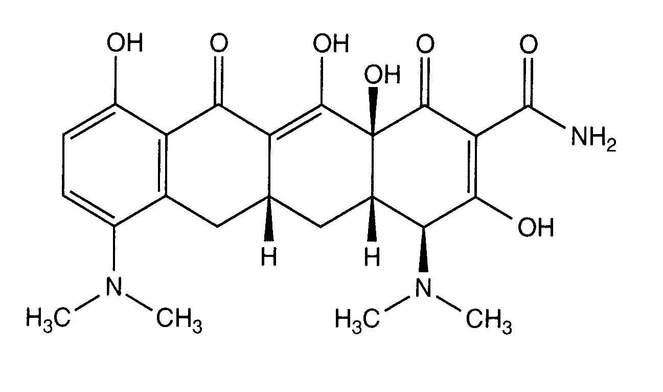
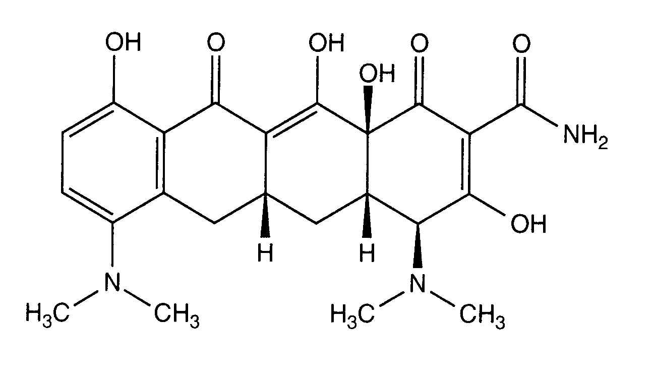
   Химическая структура  

Товарное название   Товарное название     

Trade names are indicative and excipients composition can be different depending on the country and manufacturers

Minocin Соединённые Штаты Америки
Стабильность смесей   Инъекция   Стабильность смесей : Minocycline hydrochloride     
Упаковка Растворитель Концентрация Молекула Температура Хранение Продолжительность стабильности Ссылки
Поливинилхлорид Натрия хлорид 0,9% 0,1 mg/ml
Инъекция   Minocycline hydrochloride   
Инъекция   Rifampicin 0,1 mg/ml
24°C
8 Час
Не указано 263
Уровень доказательности B +
Поливинилхлорид Натрия хлорид 0,9% 0,1 mg/ml
Инъекция   Minocycline hydrochloride   
Инъекция   Rifampicin 0,1 mg/ml
4°C
72 Час
Защищён от света 263
Уровень доказательности B +

  Mentions Légales