Senaste uppdateringen :
31/03/2026
Antibiotikum   Minocycline hydrochloride  
injektion
Oral lösning
Lösningars stabilitet Stabilitet i blandningar Faktorer som påverkar stabiliteten Kompatibilitet Administreringssätt Hänvisningar pdf
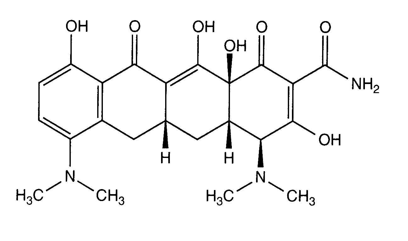
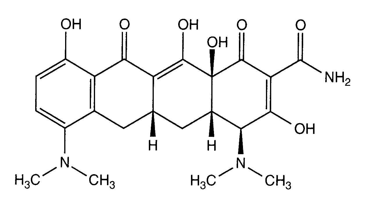
   Molekylstruktur  

Varunamn   Varunamn     

Angivna handelsnamn på läkemedel är enbart vägledande då formulering inklusive hjälpämnen kan variera mellan länder och tillverkare

Minocin Förenta Staterna
Stabilitet i blandningar   injektion   Stabilitet i blandningar : Minocycline hydrochloride     
Behållare Lösningsmedel Koncentration Substans Temperatur Förvaring Stabilitets varaktighet Hänvisningar
Polyvinylklorid Natriumklorid 0,9 % 0,1 mg/ml
injektion   Minocycline hydrochloride   
injektion   Rifampicin 0,1 mg/ml
24°C
8 Timma
Ej angiven 263
Evidensnivå B+
Polyvinylklorid Natriumklorid 0,9 % 0,1 mg/ml
injektion   Minocycline hydrochloride   
injektion   Rifampicin 0,1 mg/ml
4°C
72 Timma
Skyddas från ljus 263
Evidensnivå B+

  Mentions Légales