Cập nhật lần cuối :
27/01/2026
Thuốc hạ huyết áp   Enalapril maleate  
Dung dịch uống
Tính ổn định của các chế phẩm Độ ổn định khi trộn lẫn Những yếu tố ảnh hưởng đến độ ổn định Khả năng tương thích Tài liệu tham khảo Pdf
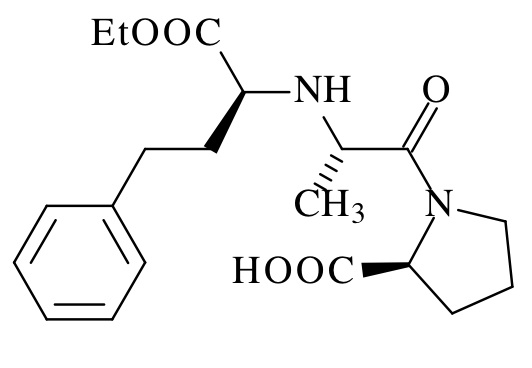
   Cấu trúc hóa học  

Dung dịch uống
Khả năng tương thích   Dung dịch uống   Khả năng tương thích : Enalapril maleate              
Không có dữ liệu

  Mentions Légales