Seneste opdatering :
27/01/2026
Antihypertensiv   Enalapril maleate  
Oral opløsning
Stabilitet af farmaceutiske tilberedninger Stabilitet i blandinger Faktorer der påvirker stabiliteten Kompatibilitet Bibliografi pdf
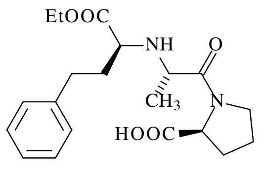
   Kemisk struktur  

Oral opløsning
Kompatibilitet   Oral opløsning   Kompatibilitet : Enalapril maleate              
Ingen data

  Mentions Légales