Laatste update :
27/01/2026
Antihypertensivum   Enalapril maleate  
Orale Oplossing
Stabiliteit van farmaceutische preparaten Stabiliteit in mengsels Factoren die de stabiliteit beïnvloeden Verenigbaarheden Literatuur pdf
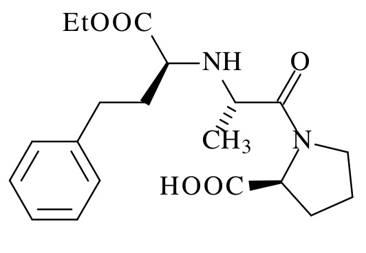
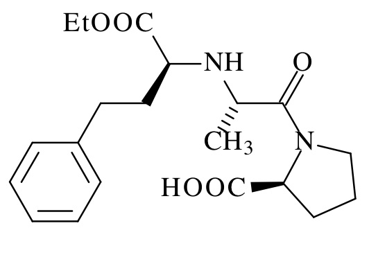
   Molecuulstructuur  

Orale Oplossing
Verenigbaarheden   Orale Oplossing   Verenigbaarheden : Enalapril maleate              
geen gegevens

  Mentions Légales