Zadnji put ažurirano :
27/01/2026
antihipertenzor   Enalapril maleate  
oralna otopina
Stabilnost farmaceutskih pripravaka Stabilnost mješavine Stabilizacijski faktor Kompatibilnosti Bibliografija pdf
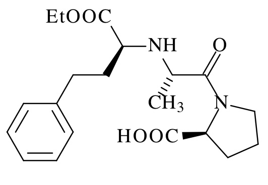
   Kemijska struktura  

oralna otopina
Kompatibilnosti   oralna otopina     Kompatibilnosti : Enalapril maleate              
bez podataka

  Mentions Légales