Poslední aktualizace :
27/01/2026
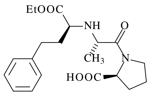
Antihypertenzivum   Enalapril maleate  
Perorální roztok
Stabilita farmaceutických přípravků Stabilita směsí Faktory ovlivňující stabilitu Kompatibilita Odkazy pdf
   Chemický vzorec  

Perorální roztok
Kompatibilita   Perorální roztok   Kompatibilita : Enalapril maleate              
žádná data

  Mentions Légales