viimane versioon :
27/01/2026
Antihüpertensiivne ravim   Enalapril maleate  
suukaudne lahus
Stabiilsust ravimpreparaadid Stabiilsust mõjutavad tegurid stabiilsust mõjutavad faktorid Sobimatus Viited pdf
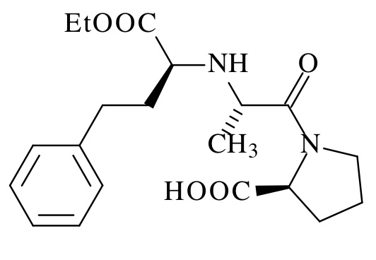
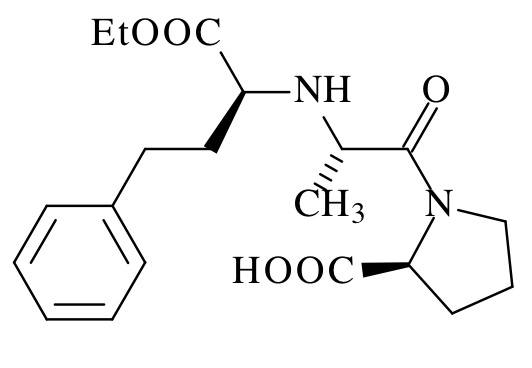
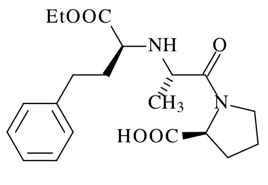
   keemiline struktuur  

suukaudne lahus
Sobimatus   suukaudne lahus   Sobimatus : Enalapril maleate              
andmed puuduvad

  Mentions Légales