Utolsó frissítés :
27/01/2026
Vérnyomáscsökkentő   Enalapril maleate  
belsőleges oldat
Stabilitása gyógyszerészeti készítmények A keverékek stabilitása Stabilitást befolyásoló tényezők Kompatibilitás Irodalom pdf
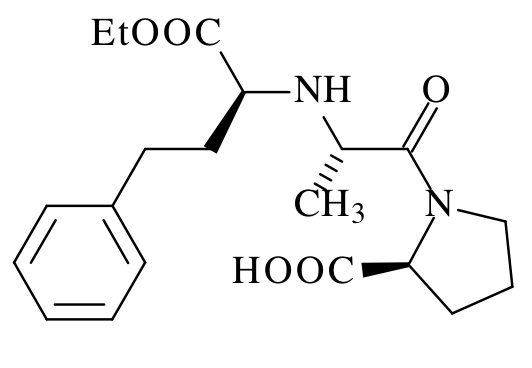
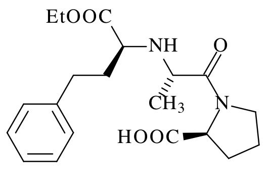
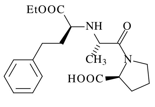
   Kémiai szerkezet   

belsőleges oldat
Kompatibilitás   belsőleges oldat   Kompatibilitás : Enalapril maleate              
Hiányzó adat

  Mentions Légales