Letztes “update” :
27/01/2026
Antihypertonikum   Enalapril maleate  
Lösung zum Einnehmen
Stabilität von pharmazeutischen Präparaten Gemengestabilität Stabilitätbeeinflussende Faktoren Kompatibilitäten Literaturverzeichnis pdf
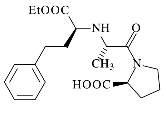
   Chemische Struktur  

Lösung zum Einnehmen
Kompatibilitäten   Lösung zum Einnehmen   Kompatibilitäten : Enalapril maleate              
Keine Daten

  Mentions Légales