Senaste uppdateringen :
27/01/2026
Antihypertensivum   Enalapril maleate  
Oral lösning
Stabilitet av läkemedel Stabilitet i blandningar Faktorer som påverkar stabiliteten Kompatibilitet Hänvisningar pdf
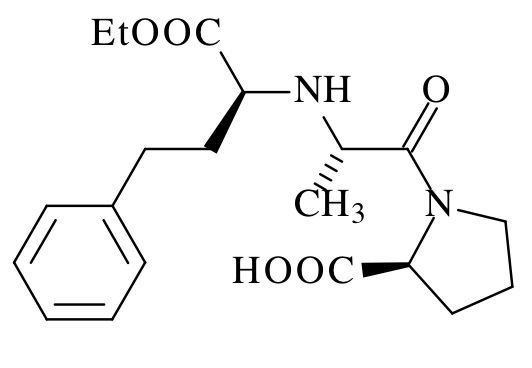
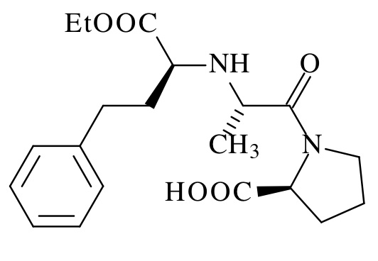
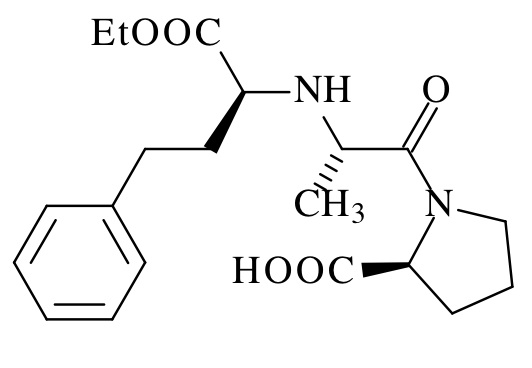
   Molekylstruktur  

Oral lösning
Kompatibilitet   Oral lösning   Kompatibilitet : Enalapril maleate              
Ingen uppgift

  Mentions Légales