Última actualización :
27/01/2026
Antihipertensor   Enalapril maleate  
Solución Oral
La estabilidad de las preparaciones farmacéuticas Estabilidad en mezcla Factores que influyen sobre la estabilidad Compatibilidades Bibliografía pdf
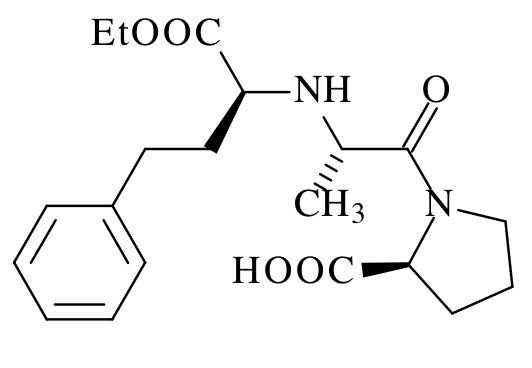
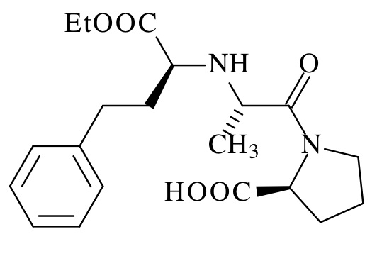
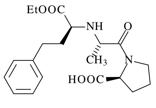
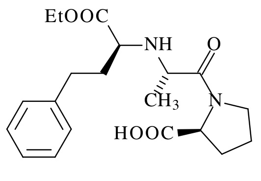
   Estructura química  

Solución Oral
Compatibilidades   Solución Oral   Compatibilidades : Enalapril maleate              
Ausencia de datos

  Mentions Légales