Siste oppdatering :
27/01/2026
Antihypertensiva   Enalapril maleate  
Mikstur
Stabilitet av farmasøytiske preparater Stabilitet i blandinger Faktorer som påvirker stabiliteten Kompatibilitet Referanser pdf
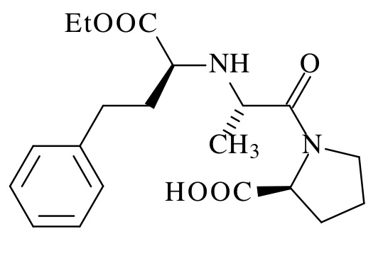
   Kjemisk struktur  

Mikstur
Kompatibilitet   Mikstur   Kompatibilitet : Enalapril maleate              
Ingen opplysninger

  Mentions Légales