Seneste opdatering :
03/03/2026
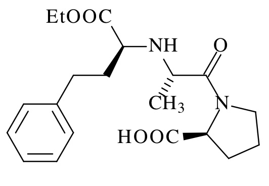
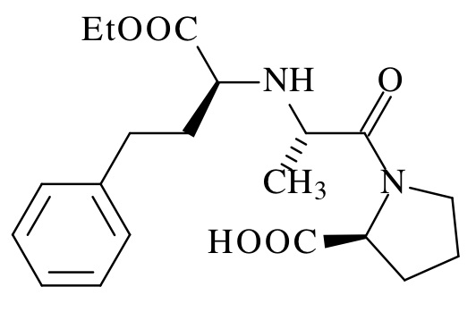
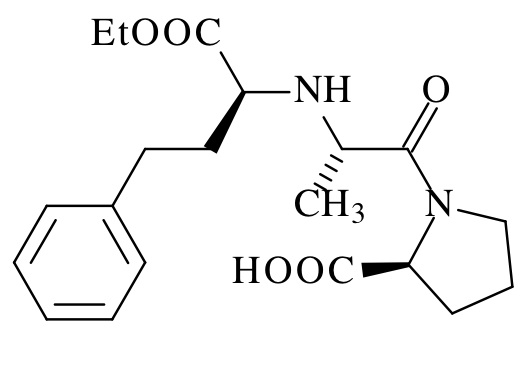
Antihypertensiv   Enalapril maleate  
Oral opløsning
Stabilitet af farmaceutiske tilberedninger Stabilitet i blandinger Faktorer der påvirker stabiliteten Kompatibilitet Bibliografi pdf
   Kemisk struktur  

Oral opløsning
Stabilitet i blandinger   Oral opløsning   Stabilitet i blandinger : Enalapril maleate     
Ingen data

  Mentions Légales