آخر تحديث :
27/01/2026
أدويه مخفضه للضغط   Enalapril maleate  
عن طريق الفم
استقرار المستحضرات الصيدلانية استقرار مخاليط العوامل التي تؤثر على الاستقرار التوافق مراجع pdf
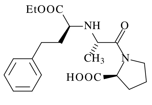
   التركيب الكيميائي  

عن طريق الفم
التوافق   عن طريق الفم     التوافق : Enalapril maleate              
لا توجد بيانات

  Mentions Légales