Τελευταία ενημέρωση :
27/01/2026
Αντιϋπερτασικό   Enalapril maleate  
Πόσιμο διάλυμα
Σταθερότητα και συμβατότητα των φαρμάκων Σταθερότητα σε μίγματα Παράγοντας που επηρεάζει τη σταθερότητα Συμβατότητες Βιβλιογραφία pdf
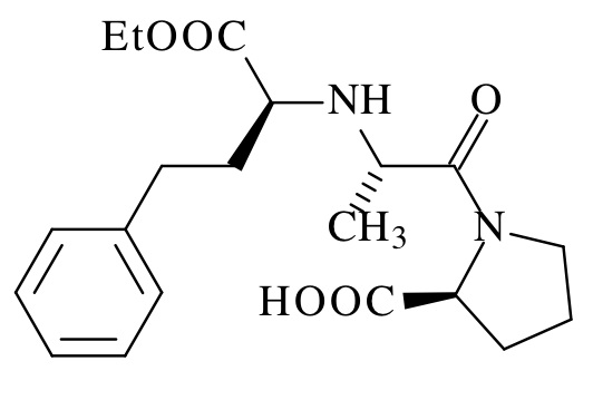
   χημική δομή  

Πόσιμο διάλυμα
Συμβατότητες    Πόσιμο διάλυμα   Συμβατότητες : Enalapril maleate              
Δεν υπάρχουν πληροφορίες

  Mentions Légales