Последно актуализиране :
27/01/2026
Антихипертензивно средство   Enalapril maleate  
Орален разтвор
Стабилност на лекарствени препарати Стабилност на смеси Фактори, повлияващи стабилността Съвместимост Библиография Pdf
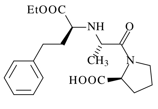
   Химична структура  

Орален разтвор
Съвместимост   Орален разтвор   Съвместимост : Enalapril maleate              
Няма данни

  Mentions Légales