Last update :
27/01/2026
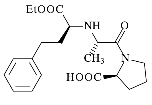
Antihypertensive   Enalapril maleate  
Oral solution
Stability of pharmaceutical preparations Stability of mixtures Factors which affect stability Compatibility References pdf
   Chemical structure  

Oral solution
Compatibility   Oral solution   Compatibility : Enalapril maleate              
No data

  Mentions Légales