Poslední aktualizace :
27/01/2026
Hipotenzinis vaistas   Enalapril maleate  
Geriamas tirpalas
Stabilumas farmacinių preparatų Mišinių stabilumas Stabilumą lemiantys veiksniai Suderinamumas Bibliografija pdf
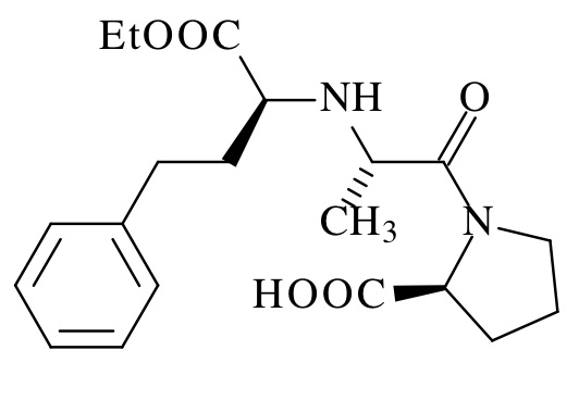
   Cheminė sandara  

Geriamas tirpalas
Suderinamumas   Geriamas tirpalas   Suderinamumas : Enalapril maleate              
Nėra duomenų

  Mentions Légales