Cập nhật lần cuối :
27/04/2026
thuốc trị ung thư   Dacarbazine  
Dạng tiêm
Tính ổn định của các dung dịch Độ ổn định khi trộn lẫn Những yếu tố ảnh hưởng đến độ ổn định Khả năng tương thích Đường dùng Tài liệu tham khảo Pdf
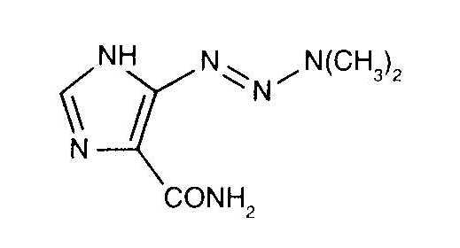
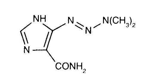
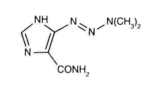
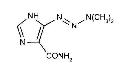
   Cấu trúc hóa học  

Tên thương mại   Tên thương mại     

Các tên thương mại được cung cấp và thành phần tá dược có thể khác nhau giữa các quốc gia và các hãng dược

Acocarb Mexico
Celdaz Ấn Độ, Peru
Dabaz Ấn Độ, Brazil
Dacarba Ấn Độ
Dacarbazin Áo, Ba Lan, Hungary, Malaysia
Dacarbazina Argentina, Brazil, Chile, Colombia, Ecuador, Mexico, Peru, Tây Ban Nha, Ý
Dacarbazine Ấn Độ, Anh, Bỉ, Canada, Hoa Kỳ, Iran, Ireland, new zealand, Thụy Điển, Úc, Đan Mạch
Dacarex Ấn Độ
Dacarin Ấn Độ
Dacarpalm Peru
Dacarzine Ấn Độ
Dacin Slovenia, Thụy Sỹ
Dacmed Ấn Độ
Daracina Colombia
Deticene Ả Rập Saudi, Bồ Đào Nha, Hà Lan, Hy Lạp, Pháp
Detimedac Colombia, Romania, Tunisia, Đức
DTIC Áo, Hoa Kỳ, new zealand
Fauldetic Bồ Đào Nha
Oncocarbil Argentina, Ecuador, Peru
Tiferomed Mexico
Độ ổn định khi trộn lẫn   Dạng tiêm   Độ ổn định khi trộn lẫn : Dacarbazine     
Bao bì Dung môi Nồng độ Phân tử Nhiệt độ Bảo quản Thời gian ổn định Mục lục
Thủy tinh NaCl 0,9% 0,85 mg/ml
Dạng tiêm   Dacarbazine   
Dạng tiêm   Granisetron hydrochloride 0,5 mg/ml
20°C-23°C
4 Giờ
Tránh ánh sáng 57
Cấp độ bằng chứng A+
Thủy tinh Glucose 5% 0,05 mg/ml
Dạng tiêm   Dacarbazine   
Dạng tiêm   Palonosetron hydrochloride 25 µg/ml
25°C
4 Giờ
Ánh sáng 2107
Cấp độ bằng chứng A+
Nhựa polyvinyl chloride Glucose 5% 8 mg/ml
Dạng tiêm   Dacarbazine   
Dạng tiêm   Ondansetron hydrochloride 0,64 mg/ml
Dạng tiêm   Doxorubicin hydrochloride 0,8 mg/ml
30°C
24 Giờ
Không rõ 26
Cấp độ bằng chứng D
Nhựa polyvinyl chloride Glucose 5% 8 mg/ml
Dạng tiêm   Dacarbazine   
Dạng tiêm   Ondansetron hydrochloride 0,64 mg/ml
Dạng tiêm   Doxorubicin hydrochloride 0,8 mg/ml
4°C
7 Ngày
Tránh ánh sáng 26
Cấp độ bằng chứng D

  Mentions Légales