Son güncelleme :
27/04/2026
kanser ilaç   Dacarbazine  
Enjeksiyon
Çözeltilerin stabilitesi Karışımlardaki stabilitesi Stabiliteyi etkileyen faktörler Uyumluluk Uygulama yöntemi Kaynaklar pdf
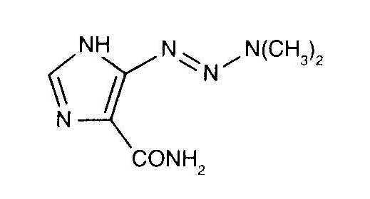
   Kimyasal yapı   

Ticari isim   Ticari isim     

Trade names are indicative and excipients composition can be different depending on the country and manufacturers

Acocarb Meksika
Celdaz Hindistan, Peru
Dabaz Brezilya, Hindistan
Dacarba Hindistan
Dacarbazin Avusturya, Macaristan, Malezya, Polonya
Dacarbazina Arjantin, Brezilya, Ekvador, İspanya, İtalya, Kolombiya, Meksika, Peru, Şili
Dacarbazine Amerika Birleşik Devletleri, Avustralya, Belçika, Büyük Britanya, Danimarka, Hindistan, İran, İrlanda, İsveç, Kanada, yeni Zelanda
Dacarex Hindistan
Dacarin Hindistan
Dacarpalm Peru
Dacarzine Hindistan
Dacin İsviçre, Slovenya
Dacmed Hindistan
Daracina Kolombiya
Deticene Fransa, Hollanda, Portekiz, Suudi Arabistan, Yunanistan
Detimedac Almanya, Kolombiya, Romanya, Tunus
DTIC Amerika Birleşik Devletleri, Avusturya, yeni Zelanda
Fauldetic Portekiz
Oncocarbil Arjantin, Ekvador, Peru
Tiferomed Meksika
Karışımlardaki stabilitesi   Enjeksiyon    Karışımlardaki stabilitesi : Dacarbazine     
Saklama kabı Çözücü Konsantrasyon Bileşik Isı Saklama    Stabilite süresi Kaynaklar
Cam Sodyum klorür % 0,9 0,85 mg/ml
Enjeksiyon   Dacarbazine   
Enjeksiyon   Granisetron hydrochloride 0,5 mg/ml
20°C-23°C
4 Zaman
Işıktan koruyunuz 57
Kanıt düzeyi A+
Cam Glukoz %5 0,05 mg/ml
Enjeksiyon   Dacarbazine   
Enjeksiyon   Palonosetron hydrochloride 25 µg/ml
25°C
4 Zaman
I_ık 2107
Kanıt düzeyi A+
Polivinil klorür Glukoz %5 8 mg/ml
Enjeksiyon   Dacarbazine   
Enjeksiyon   Ondansetron hydrochloride 0,64 mg/ml
Enjeksiyon   Doxorubicin hydrochloride 0,8 mg/ml
30°C
24 Zaman
Belirtilmemiş 26
Kanıt düzeyi D
Polivinil klorür Glukoz %5 8 mg/ml
Enjeksiyon   Dacarbazine   
Enjeksiyon   Ondansetron hydrochloride 0,64 mg/ml
Enjeksiyon   Doxorubicin hydrochloride 0,8 mg/ml
4°C
7 Gün
Işıktan koruyunuz 26
Kanıt düzeyi D

  Mentions Légales