Τελευταία ενημέρωση :
27/04/2026
φάρμακο κατά του καρκίνου   Dacarbazine  
Ενέσιμο
Σταθερότητα διαλυμάτων Σταθερότητα σε μίγματα Παράγοντας που επηρεάζει τη σταθερότητα Συμβατότητες Τρόπος χορήγησης Βιβλιογραφία pdf
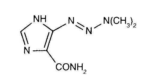
   χημική δομή  

Εμπορική ονομασία   Εμπορική ονομασία     

Οι εμπορικές ονομασίες είναι ενδεικτικές και η σύνθεση των εκδόχων μπορεί να διαφέρει ανάλογα με τη χώρα και τα εργαστήρια

Acocarb Μεξικό
Celdaz Ινδία, Περού
Dabaz Βραζιλία, Ινδία
Dacarba Ινδία
Dacarbazin Αυστρία, Μαλαισία, Ουγγαρία, Πολωνία
Dacarbazina Αργεντινή, Βραζιλία, Εκουαδόρ, Ισπανία, Ιταλία, Κολομβία, Μεξικό, Περού, Χιλή
Dacarbazine Αυστραλία, Βέλγιο, Δανία, Η.Π.Α., Ινδία, Ιράν, Ιρλανδία, Καναδάς, Μεγάλη Βρετανία, νέα Ζηλανδία, Σουηδία
Dacarex Ινδία
Dacarin Ινδία
Dacarpalm Περού
Dacarzine Ινδία
Dacin Ελβετία, Σλοβενία
Dacmed Ινδία
Daracina Κολομβία
Deticene Γαλλία, Ελλάδα, Ολλανδία, Πορτογαλία, Σαουδική Αραβία
Detimedac Γερμανία, Κολομβία, Ρουμανία, Τυνησία
DTIC Αυστρία, Η.Π.Α., νέα Ζηλανδία
Fauldetic Πορτογαλία
Oncocarbil Αργεντινή, Εκουαδόρ, Περού
Tiferomed Μεξικό
Σταθερότητα σε μίγματα   Ενέσιμο   Σταθερότητα σε μίγματα : Dacarbazine     
Υποδοχέας Διαλυτικό Συγκέντρωση Συστατικό Θερμοκρασία Αποθήκευση Διάρκεια σταθερότητας Βιβλιογραφία
Ύαλος Χλωριούχο νάτριο 0,9% 0,85 mg/ml
Ενέσιμο   Dacarbazine   
Ενέσιμο   Granisetron hydrochloride 0,5 mg/ml
20°C-23°C
4 Ώρα
Προστατεύετε από το φως 57
Επίπεδο των αποδεικτικών στοιχείων A+
Ύαλος Γλυκόζη 5% 0,05 mg/ml
Ενέσιμο   Dacarbazine   
Ενέσιμο   Palonosetron hydrochloride 25 µg/ml
25°C
4 Ώρα
Φως 2107
Επίπεδο των αποδεικτικών στοιχείων A+
Πολυβινυλοχλωρίδιο Γλυκόζη 5% 8 mg/ml
Ενέσιμο   Dacarbazine   
Ενέσιμο   Ondansetron hydrochloride 0,64 mg/ml
Ενέσιμο   Doxorubicin hydrochloride 0,8 mg/ml
30°C
24 Ώρα
Απροσδιόριστο 26
Επίπεδο των αποδεικτικών στοιχείων D
Πολυβινυλοχλωρίδιο Γλυκόζη 5% 8 mg/ml
Ενέσιμο   Dacarbazine   
Ενέσιμο   Ondansetron hydrochloride 0,64 mg/ml
Ενέσιμο   Doxorubicin hydrochloride 0,8 mg/ml
4°C
7 Ημέρα
Προστατεύετε από το φως 26
Επίπεδο των αποδεικτικών στοιχείων D

  Mentions Légales