آخر تحديث :
27/04/2026
المضادة للسرطان المخدرات   Dacarbazine  
حقن
الاستقرار في حلول استقرار مخاليط العوامل التي تؤثر على الاستقرار التوافق طريقة التعاطي مراجع pdf
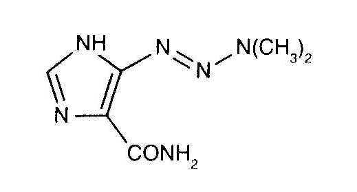
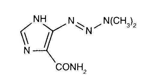
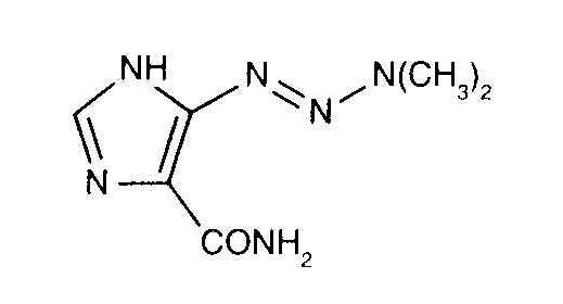
   التركيب الكيميائي  

حجز الاسم التجاري   حجز الاسم التجاري     

تحذير الأسماء التجاريه المختلفه قد تحتوي علي محتوي إضافات مختلفة حسب الدوله و المعمل

Acocarb المكسيك
Celdaz الهند, بيرو
Dabaz البرازيل, الهند
Dacarba الهند
Dacarbazin النمسا, بولندا, ماليزيا, هنغاريا
Dacarbazina إسبانيا, إيطاليا, الأرجنتين, الإكوادور, البرازيل, المكسيك, بيرو, تشيلي, كولومبيا
Dacarbazine أستراليا, إيران, الدنمارك, السويد, الهند, الولايات المتحدة, ايرلندا, بريطانيا العظمي, بلجيكا, زيلاندا الجديدة, كندا
Dacarex الهند
Dacarin الهند
Dacarpalm بيرو
Dacarzine الهند
Dacin سلوفينيا, سويسرا
Dacmed الهند
Daracina كولومبيا
Deticene البرتغال, العربية السعودية, فرنسا, هولندا, يونان
Detimedac ألمانيا, تونس, رومانيا, كولومبيا
DTIC النمسا, الولايات المتحدة, زيلاندا الجديدة
Fauldetic البرتغال
Oncocarbil الأرجنتين, الإكوادور, بيرو
Tiferomed المكسيك
استقرار مخاليط   حقن   استقرار مخاليط : Dacarbazine     
حاوية مذيب تركيز مركب درجة الحرارة تخزين مدة الاستقرار مراجع
زجاج كلوريد الصوديوم 0.9% 0,85 mg/ml
حقن   Dacarbazine   
حقن   Granisetron hydrochloride 0,5 mg/ml
20°C-23°C
4 ساعة
بعيدا عن الضوء 57
 A+ مستوى الأدلة
زجاج الجلوكوز %5 0,05 mg/ml
حقن   Dacarbazine   
حقن   Palonosetron hydrochloride 25 µg/ml
25°C
4 ساعة
ضوء 2107
 A+ مستوى الأدلة
البولي فينيل كلوريد الجلوكوز %5 8 mg/ml
حقن   Dacarbazine   
حقن   Ondansetron hydrochloride 0,64 mg/ml
حقن   Doxorubicin hydrochloride 0,8 mg/ml
30°C
24 ساعة
لم يتم تحديد 26
D مستوى الأدلة
البولي فينيل كلوريد الجلوكوز %5 8 mg/ml
حقن   Dacarbazine   
حقن   Ondansetron hydrochloride 0,64 mg/ml
حقن   Doxorubicin hydrochloride 0,8 mg/ml
4°C
7 يوم
بعيدا عن الضوء 26
D مستوى الأدلة

  Mentions Légales