Останнє оновлення :
27/04/2026
Протипухлинний препарат   Dacarbazine  
ін'єкція
Стійкість в розчинах Стійкість сумішей Фактори, що впливають на стабільність Сумісність Шлях введення Список літератури pdf
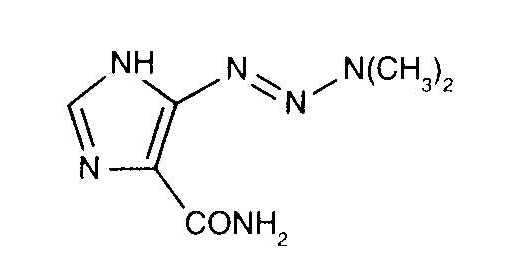
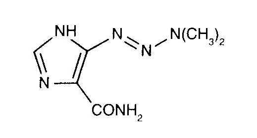
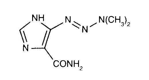
   Хімічна структура  

Торгова назва   Торгова назва     

Торгові назви є орієнтовними, а склад допоміжних речовин може бути різним залежно від країни та виробника

Acocarb Мексика
Celdaz Індія, Перу
Dabaz Індія, Бразилія
Dacarba Індія
Dacarbazin Австрія, Малайзія, Польща, Угорщина
Dacarbazina Іспанія, Італія, Аргентина, Бразилія, Еквадор, Колумбія, Мексика, Перу, Чилі
Dacarbazine Індія, Іран, Ірландія, Австралія, Бельгія, Великобританія, Данія, Канада, Нова Зеландія, Сполучені Штати Америки, Швеція
Dacarex Індія
Dacarin Індія
Dacarpalm Перу
Dacarzine Індія
Dacin Словенія, Швейцарія
Dacmed Індія
Daracina Колумбія
Deticene Греція, Нідерланди, Португалія, Саудівська Аравія, Франція
Detimedac Колумбія, Німеччина, Румунія, Туніс
DTIC Австрія, Нова Зеландія, Сполучені Штати Америки
Fauldetic Португалія
Oncocarbil Аргентина, Еквадор, Перу
Tiferomed Мексика
Стійкість сумішей   ін'єкція   Стійкість сумішей : Dacarbazine     
Контейнер Розчинник Концентрація З'єднання температура Зберігання Тривалість стабільності Список літератури
скло Натрію хлорид 0,9% 0,85 mg/ml
ін'єкція   Dacarbazine   
ін'єкція   Granisetron hydrochloride 0,5 mg/ml
20°C-23°C
4 годину
Берегти від світла 57
Рівень доказовості А+
скло Глюкоза 5% 0,05 mg/ml
ін'єкція   Dacarbazine   
ін'єкція   Palonosetron hydrochloride 25 µg/ml
25°C
4 годину
світло 2107
Рівень доказовості А+
Полівініл хлорид Глюкоза 5% 8 mg/ml
ін'єкція   Dacarbazine   
ін'єкція   Ondansetron hydrochloride 0,64 mg/ml
ін'єкція   Doxorubicin hydrochloride 0,8 mg/ml
30°C
24 годину
Не визначено 26
Рівень доказовості D
Полівініл хлорид Глюкоза 5% 8 mg/ml
ін'єкція   Dacarbazine   
ін'єкція   Ondansetron hydrochloride 0,64 mg/ml
ін'єкція   Doxorubicin hydrochloride 0,8 mg/ml
4°C
7 День
Берегти від світла 26
Рівень доказовості D

  Mentions Légales