Ultimo aggiornamento :
27/04/2026
farmaco contro il cancro   Dacarbazine  
Iniezione
Stabilità in soluzione Stabilità in miscela Fattori che influenzano la stabilità Compatibilità metodo di iniezione Bibliografia pdf
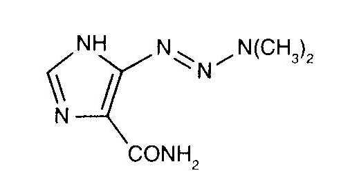
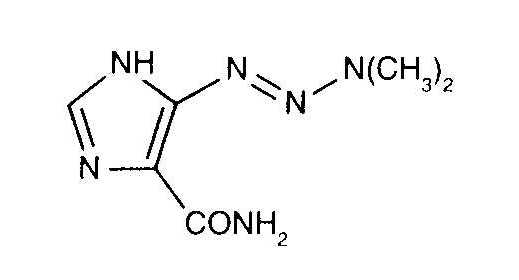
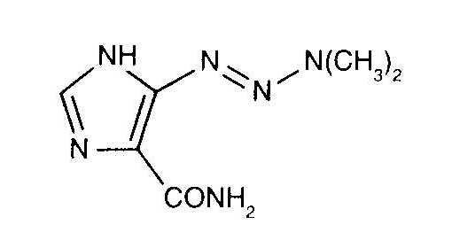
   Struttura chimica  

Nome commerciale   Nome commerciale     

Trade names are indicative and excipients composition can be different depending on the country and manufacturers

Acocarb Messico
Celdaz India, Perù
Dabaz Brasile, India
Dacarba India
Dacarbazin Austria, Malaysia, Polonia, Ungheria
Dacarbazina Argentina, Brasile, Chile, Colombia, Ecuador, Italia, Messico, Perù, Spagna
Dacarbazine Australia, Belgio, Canada, Danimarca, Gran Bretagna, India, Iran, Irlanda, nuova Zelanda, Stati Uniti d’America, Svezia
Dacarex India
Dacarin India
Dacarpalm Perù
Dacarzine India
Dacin Slovenia, Svizzera
Dacmed India
Daracina Colombia
Deticene Arabia Saudita, Francia, Grecia, Paesi Bassi, Portogallo
Detimedac Colombia, Germania, Romania, Tunisia
DTIC Austria, nuova Zelanda, Stati Uniti d’America
Fauldetic Portogallo
Oncocarbil Argentina, Ecuador, Perù
Tiferomed Messico
Stabilità in miscela   Iniezione   Stabilità in miscela : Dacarbazine     
contenitore Solvente Concentrazione Molecola Temperatura Conservazione Durata della stabilità Bibliografia
Vetro Cloruro di sodio 0,9% 0,85 mg/ml
Iniezione   Dacarbazine   
Iniezione   Granisetron hydrochloride 0,5 mg/ml
20°C-23°C
4 Ora
Al riparo dalla luce 57
Livello di evidenza A+
Vetro Glucosio 5% 0,05 mg/ml
Iniezione   Dacarbazine   
Iniezione   Palonosetron hydrochloride 25 µg/ml
25°C
4 Ora
Luce 2107
Livello di evidenza A+
Cloruro di polivinile Glucosio 5% 8 mg/ml
Iniezione   Dacarbazine   
Iniezione   Ondansetron hydrochloride 0,64 mg/ml
Iniezione   Doxorubicin hydrochloride 0,8 mg/ml
30°C
24 Ora
Non precisata 26
Livello di evidenza D
Cloruro di polivinile Glucosio 5% 8 mg/ml
Iniezione   Dacarbazine   
Iniezione   Ondansetron hydrochloride 0,64 mg/ml
Iniezione   Doxorubicin hydrochloride 0,8 mg/ml
4°C
7 Giorno
Al riparo dalla luce 26
Livello di evidenza D

  Mentions Légales