Siste oppdatering :
27/04/2026
kreft narkotika   Dacarbazine  
Injeksjon
Oppløsningsstabilitet Stabilitet i blandinger Faktorer som påvirker stabiliteten Kompatibilitet Administrasjonsmåte Referanser pdf
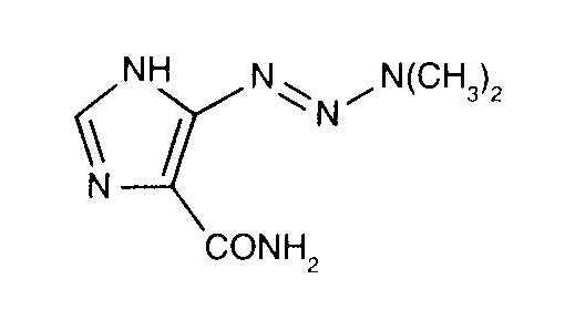
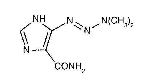
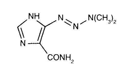
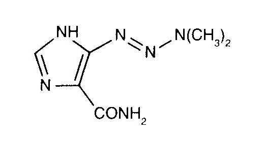
   Kjemisk struktur  

Handelsnavn   Handelsnavn     

Handelsnavn er veiledende og sammensetning av hjelpestoffer kan være forskjellig avhengig av land og produsent

Acocarb Mexico
Celdaz India, Peru
Dabaz Brasil, India
Dacarba India
Dacarbazin Malaysia, Polen, Ungarn, Østerrike
Dacarbazina Argentina, Brasil, Chile, Colombia, Ecuador, Italia, Mexico, Peru, Spania
Dacarbazine Australia, Belgia, Canada, Danmark, India, Iran, Irland, New Zealand, Storbritannia, Sverige, USA
Dacarex India
Dacarin India
Dacarpalm Peru
Dacarzine India
Dacin Slovenia, Sveits
Dacmed India
Daracina Colombia
Deticene Frankrike, Hellas, Nederland, Portugal, Saudi-Arabia
Detimedac Colombia, Romania, Tunisia, Tyskland
DTIC New Zealand, USA, Østerrike
Fauldetic Portugal
Oncocarbil Argentina, Ecuador, Peru
Tiferomed Mexico
Stabilitet i blandinger   Injeksjon   Stabilitet i blandinger : Dacarbazine     
Beholder Oppløsningsmiddel Konsentrasjon Legemiddel Temperatur Oppbevaring Varighet av stabilitet Referanser
Glass Natriumklorid 0,9 % 0,85 mg/ml
Injeksjon   Dacarbazine   
Injeksjon   Granisetron hydrochloride 0,5 mg/ml
20°C-23°C
4 Tid
Beskyttes mot lys 57
Bevisgrad A +
Glass Glukose 5 % 0,05 mg/ml
Injeksjon   Dacarbazine   
Injeksjon   Palonosetron hydrochloride 25 µg/ml
25°C
4 Tid
Lys 2107
Bevisgrad A +
Polyvinylklorid Glukose 5 % 8 mg/ml
Injeksjon   Dacarbazine   
Injeksjon   Ondansetron hydrochloride 0,64 mg/ml
Injeksjon   Doxorubicin hydrochloride 0,8 mg/ml
30°C
24 Tid
Ikke angitt 26
Bevisgrad D
Polyvinylklorid Glukose 5 % 8 mg/ml
Injeksjon   Dacarbazine   
Injeksjon   Ondansetron hydrochloride 0,64 mg/ml
Injeksjon   Doxorubicin hydrochloride 0,8 mg/ml
4°C
7 Dag
Beskyttes mot lys 26
Bevisgrad D

  Mentions Légales