zadnja posodobitev :
27/04/2026
rak drog   Dacarbazine  
Brizgalka
Stabilnost raztopine Stabilnost mešanice Faktorji, ki vplivajo na stabilnost Kompatibilnost način aplikacije Viri pdf
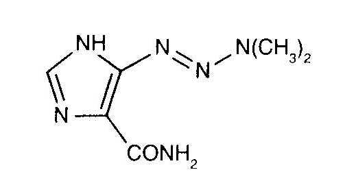
   Kemična formula  

Lastniško ime   Lastniško ime     

Sestava pomožnih snovi je med paralelami lahko različna

Acocarb Mehika
Celdaz Indija, Peru
Dabaz Brazilija, Indija
Dacarba Indija
Dacarbazin Avstrija, Madžarska, Malezija, Poljska
Dacarbazina Argentina, Brazilija, Čile, Ekvador, Italija, Kolumbija, Mehika, Peru, Španija
Dacarbazine Avstralija, Belgija, Danska, Indija, Iran, Irska, Kanada, nova Zelandija, Švedska, Velika Britanija, Združene države Amerike
Dacarex Indija
Dacarin Indija
Dacarpalm Peru
Dacarzine Indija
Dacin Slovenija, Švica
Dacmed Indija
Daracina Kolumbija
Deticene Francija, Grčija, Nizozemska, Portugalska, Savdska Arabija
Detimedac Kolumbija, Nemčija, Romunija, Tunizija
DTIC Avstrija, nova Zelandija, Združene države Amerike
Fauldetic Portugalska
Oncocarbil Argentina, Ekvador, Peru
Tiferomed Mehika
Stabilnost mešanice   Brizgalka   Stabilnost mešanice : Dacarbazine     
Vsebnik Topilo Koncentracija Sestava Temperatura Shranjevanje Trajanje stabilnosti Viri
Steklo Natrijev klorid 0,9% 0,85 mg/ml
Brizgalka   Dacarbazine   
Brizgalka   Granisetron hydrochloride 0,5 mg/ml
20°C-23°C
4 čas
Zaščiteno pred svetlobo 57
 Stopnja dokaza A+
Steklo Glukoza 5% 0,05 mg/ml
Brizgalka   Dacarbazine   
Brizgalka   Palonosetron hydrochloride 25 µg/ml
25°C
4 čas
Svetloba 2107
 Stopnja dokaza A+
Polivinil klorid Glukoza 5% 8 mg/ml
Brizgalka   Dacarbazine   
Brizgalka   Ondansetron hydrochloride 0,64 mg/ml
Brizgalka   Doxorubicin hydrochloride 0,8 mg/ml
30°C
24 čas
Nedoločeno 26
 Stopnja dokaza D
Polivinil klorid Glukoza 5% 8 mg/ml
Brizgalka   Dacarbazine   
Brizgalka   Ondansetron hydrochloride 0,64 mg/ml
Brizgalka   Doxorubicin hydrochloride 0,8 mg/ml
4°C
7 Dan
Zaščiteno pred svetlobo 26
 Stopnja dokaza D

  Mentions Légales