Poslední aktualizace :
27/04/2026
vėžio narkotikų   Dacarbazine  
Įpurškimas
Tirpalų stabilumas Mišinių stabilumas Stabilumą lemiantys veiksniai Suderinamumas Leidimo būdai Bibliografija pdf
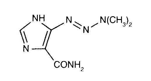
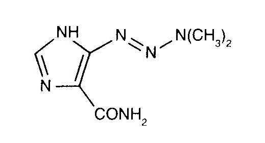
   Cheminė sandara  

Prekinis pavadinimas   Prekinis pavadinimas     

Trade names are indicative and excipients composition can be different depending on the country and manufacturers

Acocarb Meksikas
Celdaz Indija, Peru
Dabaz Brazilija, Indija
Dacarba Indija
Dacarbazin Austrija, Lenkija, Malaizija, Vengrija
Dacarbazina Argentina, Brazilija, Čilė, Ekvadoras, Ispanija, Italija, Kolumbija, Meksikas, Peru
Dacarbazine Airija, Australija, Belgija, Danija, Didžioji Britanija, Indija, Iranas, Jungtinės Amerikos Valstijos, Kanada, Naujojoje Zelandijoje, Švedija
Dacarex Indija
Dacarin Indija
Dacarpalm Peru
Dacarzine Indija
Dacin Slovėnija, Šveicarija
Dacmed Indija
Daracina Kolumbija
Deticene Graikija, Olandija, Portugalija, Prancūzija, Saudo Arabija
Detimedac Kolumbija, Rumunija, Tunisas, Vokietija
DTIC Austrija, Jungtinės Amerikos Valstijos, Naujojoje Zelandijoje
Fauldetic Portugalija
Oncocarbil Argentina, Ekvadoras, Peru
Tiferomed Meksikas
Mišinių stabilumas   Įpurškimas   Mišinių stabilumas : Dacarbazine     
Pakuotė Tirpiklis Koncentracija Molekulė Temperatūra Laikymas Stabilumo trukmė Nuorodos
Stiklas Natrio chloridas 0,9% 0,85 mg/ml
Įpurškimas   Dacarbazine   
Įpurškimas   Granisetron hydrochloride 0,5 mg/ml
20°C-23°C
4 Valanda
Apsaugotas nuo šviesos 57
Bandymo lygis A+
Stiklas Gliukozė 5% 0,05 mg/ml
Įpurškimas   Dacarbazine   
Įpurškimas   Palonosetron hydrochloride 25 µg/ml
25°C
4 Valanda
Šviesa 2107
Bandymo lygis A+
Polivinilchloridas Gliukozė 5% 8 mg/ml
Įpurškimas   Dacarbazine   
Įpurškimas   Ondansetron hydrochloride 0,64 mg/ml
Įpurškimas   Doxorubicin hydrochloride 0,8 mg/ml
30°C
24 Valanda
Nenurodyta 26
Bandymo lygis D
Polivinilchloridas Gliukozė 5% 8 mg/ml
Įpurškimas   Dacarbazine   
Įpurškimas   Ondansetron hydrochloride 0,64 mg/ml
Įpurškimas   Doxorubicin hydrochloride 0,8 mg/ml
4°C
7 Diena
Apsaugotas nuo šviesos 26
Bandymo lygis D

  Mentions Légales